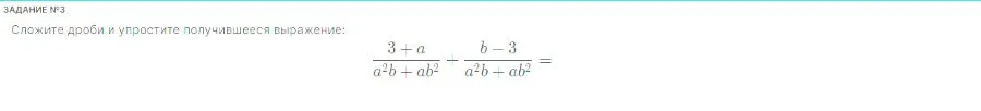
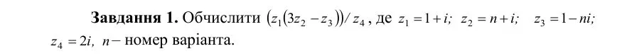
Алгебра - Примеры с Нейросетью | Homiwork — страница 2
Примеры того, как наши пользователи разбирались в теме с помощью ИИ. Получите пошаговые объяснения для понимания любой концепции.
Повысь эффективность с ИИ
Примеры того, как наши пользователи разбирались в теме с помощью ИИ. Получите пошаговые объяснения для понимания любой концепции.