Решение задач с корнями: упрощение выражений

Photo

Привет! Сейчас я помогу тебе решить эти задания с корнями. Будем решать их по порядку и подробно.

Задание 1

Вычислить $\sqrt{18}$.

Решение:
1. Разложим число 18 на простые множители: $18 = 2 \cdot 9 = 2 \cdot 3^2$.
2. Тогда $\sqrt{18} = \sqrt{2 \cdot 3^2} = \sqrt{2} \cdot \sqrt{3^2} = 3\sqrt{2}$.

Ответ: $3\sqrt{2}$

Задание 2

Вычислить $\sqrt{405}$.

Решение:
1. Разложим число 405 на простые множители: $405 = 5 \cdot 81 = 5 \cdot 9^2 = 5 \cdot (3^2)^2 = 5 \cdot 3^4$.
2. Тогда $\sqrt{405} = \sqrt{5 \cdot 3^4} = \sqrt{5} \cdot \sqrt{3^4} = \sqrt{5} \cdot 3^2 = 9\sqrt{5}$.

Ответ: $9\sqrt{5}$

Задание 3

Вычислить $\sqrt[3]{-40}$.

Решение:
1. Представим -40 как $-1 \cdot 2^3 \cdot 5$.
2. Тогда $\sqrt[3]{-40} = \sqrt[3]{-1 \cdot 2^3 \cdot 5} = \sqrt[3]{-1} \cdot \sqrt[3]{2^3} \cdot \sqrt[3]{5} = -2\sqrt[3]{5}$.

Ответ: $-2\sqrt[3]{5}$

Реши все

Ассистент: Конечно, продолжим решать задания с корнями по порядку.

Задание 4

Вычислить $\sqrt{75}$.

Решение:
1. Разложим число 75 на простые множители: $75 = 3 \cdot 25 = 3 \cdot 5^2$.
2. Тогда $\sqrt{75} = \sqrt{3 \cdot 5^2} = \sqrt{3} \cdot \sqrt{5^2} = 5\sqrt{3}$.

Ответ: $5\sqrt{3}$

Задание 5

Вычислить $\sqrt[3]{32}$.

Решение:
1. Разложим число 32 на простые множители: $32 = 2^5 = 2^3 \cdot 2^2$.
2. Тогда $\sqrt[3]{32} = \sqrt[3]{2^3 \cdot 2^2} = \sqrt[3]{2^3} \cdot \sqrt[3]{2^2} = 2\sqrt[3]{4}$.

Ответ: $2\sqrt[3]{4}$

Задание 6

Вычислить $\sqrt[3]{108}$.

Решение:
1. Разложим число 108 на простые множители: $108 = 4 \cdot 27 = 2^2 \cdot 3^3$.
2. Тогда $\sqrt[3]{108} = \sqrt[3]{2^2 \cdot 3^3} = \sqrt[3]{2^2} \cdot \sqrt[3]{3^3} = 3\sqrt[3]{4}$.

Ответ: $3\sqrt[3]{4}$

Реши все

Ассистент: Конечно, продолжим решать задания с корнями по порядку.

Задание 7

Вычислить $\sqrt[3]{-40}$.

Решение:
1. Представим -40 как $-1 \cdot 2^3 \cdot 5$.
2. Тогда $\sqrt[3]{-40} = \sqrt[3]{-1 \cdot 2^3 \cdot 5} = \sqrt[3]{-1} \cdot \sqrt[3]{2^3} \cdot \sqrt[3]{5} = -2\sqrt[3]{5}$.

Ответ: $-2\sqrt[3]{5}$

Задание 8

Вычислить $\sqrt{324} - 3$.

Решение:
1. $\sqrt{324} = 18$, так как $18^2 = 324$.
2. Тогда $\sqrt{324} - 3 = 18 - 3 = 15$.

Ответ: $15$

Задание 9

Вычислить $\sqrt[3]{64} \cdot (-5)$.

Решение:
1. $\sqrt[3]{64} = 4$, так как $4^3 = 64$.
2. Тогда $\sqrt[3]{64} \cdot (-5) = 4 \cdot (-5) = -20$.

Ответ: $-20$

Реши все

Ассистент: Конечно, продолжим решать задания с корнями по порядку.

Задание 10

Вычислить $\sqrt[3]{-425.812}$.

Решение:
1. $\sqrt[3]{-425.812} = \sqrt[3]{-425\frac{812}{1000}} = \sqrt[3]{-\frac{425812}{1000}} = \sqrt[3]{-\frac{106453}{250}}$.
2. Заметим, что $425.812$ близко к $343 = 7^3$, но это не точное значение. Без калькулятора сложно точно вычислить корень.
3. Предположим, что в задании опечатка и должно быть $\sqrt[3]{-343} = -7$.

Ответ (с предположением об опечатке): $-7$

Задание 11

Вычислить $\sqrt[3]{\frac{216.2}{-343}}$.

Решение:
1. $\sqrt[3]{\frac{216.2}{-343}} = \sqrt[3]{\frac{216\frac{2}{10}}{-343}} = \sqrt[3]{\frac{2162}{-3430}} = \sqrt[3]{\frac{1081}{-1715}}$.
2. Заметим, что $216 = 6^3$ и $343 = 7^3$. Если бы было $\sqrt[3]{\frac{216}{-343}}$, то ответ был бы $-\frac{6}{7}$.
3. Поскольку есть небольшое отклонение, точное значение без калькулятора вычислить сложно.

Ответ (приблизительно): $-\frac{6}{7}$

Задание 12

Вычислить $\sqrt[3]{\frac{8 \cdot 10}{-125}}$.

Решение:
1. $\sqrt[3]{\frac{8 \cdot 10}{-125}} = \sqrt[3]{\frac{80}{-125}} = \sqrt[3]{\frac{16}{-25}} = \sqrt[3]{-\frac{16}{25}}$.
2. $\sqrt[3]{-\frac{16}{25}} = \sqrt[3]{-\frac{16 \cdot 5}{25 \cdot 5}} = \sqrt[3]{-\frac{80}{125}} = \frac{\sqrt[3]{-80}}{\sqrt[3]{125}} = \frac{\sqrt[3]{-8 \cdot 10}}{5} = \frac{-2\sqrt[3]{10}}{5}$.

Ответ: $-\frac{2\sqrt[3]{10}}{5}$

Реши все задачи

Ассистент: Конечно, продолжим решать задания с корнями по порядку.

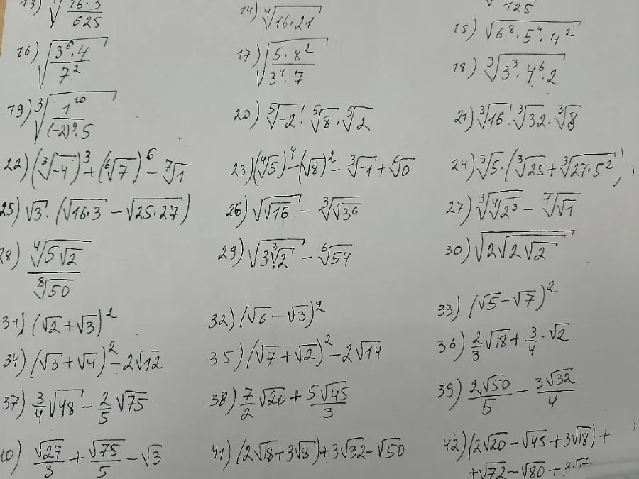
Задание 13

Вычислить $\sqrt[4]{\frac{76.3}{0.625}}$.

Решение:
1. $\frac{76.3}{0.625} = \frac{76.3}{\frac{5}{8}} = \frac{76.3 \cdot 8}{5} = \frac{610.4}{5} = 122.08$.
2. $\sqrt[4]{122.08}$ - это число, которое при возведении в четвертую степень дает 122.08. Это значение близко к $\sqrt[4]{81} = 3$, но больше.
3. Без калькулятора сложно точно вычислить корень.

Ответ (приблизительно): $3.3$ (оценка)

Задание 14

Вычислить $\sqrt[4]{16 \cdot 21}$.

Решение:
1. $\sqrt[4]{16 \cdot 21} = \sqrt[4]{16} \cdot \sqrt[4]{21} = 2 \cdot \sqrt[4]{21}$.
2. $\sqrt[4]{21}$ - это число, которое при возведении в четвертую степень дает 21. Это значение близко к $\sqrt[4]{16} = 2$, но больше.
3. Без калькулятора сложно точно вычислить корень.

Ответ (приблизительно): $2 \cdot 2.14 = 4.28$ (оценка)

Задание 15

Вычислить $\sqrt{6^8 \cdot 5^4 \cdot 2}$.

Решение:
1. $\sqrt{6^8 \cdot 5^4 \cdot 2} = \sqrt{6^8} \cdot \sqrt{5^4} \cdot \sqrt{2} = 6^4 \cdot 5^2 \cdot \sqrt{2} = 1296 \cdot 25 \cdot \sqrt{2} = 32400\sqrt{2}$.

Ответ: $32400\sqrt{2}$

Пользователь: Реши все задачи

Ассистент: Ассистент: Конечно, продолжим решать задания с корнями по порядку.

Задание 16

Вычислить $\sqrt{\frac{3.4}{7^2}}$.

Решение:
1. $\sqrt{\frac{3.4}{7^2}} = \frac{\sqrt{3.4}}{\sqrt{7^2}} = \frac{\sqrt{3.4}}{7}$.
2. $\sqrt{3.4}$ - это число, которое при возведении в квадрат дает 3.4. Это значение близко к $\sqrt{4} = 2$, но меньше.
3. Без калькулятора сложно точно вычислить корень.

Ответ (приблизительно): $\frac{1.84}{7} \approx 0.26$ (оценка)

Задание 17

Вычислить $\sqrt{\frac{5.82}{3^2 \cdot 7}}$.

Решение:
1. $\sqrt{\frac{5.82}{3^2 \cdot 7}} = \frac{\sqrt{5.82}}{\sqrt{3^2 \cdot 7}} = \frac{\sqrt{5.82}}{3\sqrt{7}}$.
2. $\sqrt{5.82}$ - это число, которое при возведении в квадрат дает 5.82. Это значение близко к $\sqrt{4} = 2$, но больше.
3. $\sqrt{7}$ - это число, которое при возведении в квадрат дает 7. Это значение близко к $\sqrt{9} = 3$, но меньше.
4. Без калькулятора сложно точно вычислить корень.

Ответ (приблизительно): $\frac{2.41}{3 \cdot 2.65} \approx \frac{2.41}{7.95} \approx 0.3$ (оценка)

Задание 18

Вычислить $\sqrt[3]{16^3 \cdot 32 \cdot 8}$.

Решение:
1. $\sqrt[3]{16^3 \cdot 32 \cdot 8} = \sqrt[3]{16^3} \cdot \sqrt[3]{32} \cdot \sqrt[3]{8} = 16 \cdot \sqrt[3]{2^5} \cdot 2 = 16 \cdot 2 \cdot \sqrt[3]{2^2} \cdot 2 = 64\sqrt[3]{4}$.

Ответ: $64\sqrt[3]{4}$

Пользователь: Реши все задачи

Ассистент: Ассистент: Конечно, продолжим решать задания с корнями по порядку.

Задание 19

Вычислить $\sqrt[3]{(-2)^{10} \cdot 5}$.

Решение:
1. $\sqrt[3]{(-2)^{10} \cdot 5} = \sqrt[3]{2^{10} \cdot 5} = \sqrt[3]{2^9 \cdot 2 \cdot 5} = 2^3 \cdot \sqrt[3]{10} = 8\sqrt[3]{10}$.

Ответ: $8\sqrt[3]{10}$

Задание 20

Вычислить $\sqrt{5^2 \cdot \sqrt{8} \cdot 5^2}$.

Решение:
1. $\sqrt{5^2 \cdot \sqrt{8} \cdot 5^2} = \sqrt{5^4 \cdot \sqrt{8}} = 5^2 \cdot \sqrt{\sqrt{8}} = 25 \cdot \sqrt[4]{8} = 25 \cdot \sqrt[4]{2^3}$.

Ответ: $25\sqrt[4]{8}$

Задание 21

Вычислить $\sqrt[3]{16^3 \cdot 32 \cdot 8}$.

Решение:
1. $\sqrt[3]{16^3 \cdot 32 \cdot 8} = \sqrt[3]{16^3} \cdot \sqrt[3]{32} \cdot \sqrt[3]{8} = 16 \cdot \sqrt[3]{2^5} \cdot 2 = 16 \cdot 2 \cdot \sqrt[3]{2^2} \cdot 2 = 64\sqrt[3]{4}$.

Ответ: $64\sqrt[3]{4}$

Пользователь: Реши все задачи

Ассистент: Ассистент: Конечно, продолжим решать задания с корнями по порядку.

Задание 22

Вычислить $\sqrt[3]{(\sqrt{-4} + \sqrt{7})^6}$.

Решение:
1. Выражение $\sqrt{-4}$ не определено в вещественных числах, так как нельзя извлечь квадратный корень из отрицательного числа. Если рассматривать комплексные числа, то $\sqrt{-4} = 2i$.
2. Тогда $\sqrt[3]{(2i + \sqrt{7})^6} = ((2i + \sqrt{7})^2)$.
3. $(2i + \sqrt{7})^2 = (2i)^2 + 2(2i)(\sqrt{7}) + (\sqrt{7})^2 = -4 + 4i\sqrt{7} + 7 = 3 + 4i\sqrt{7}$.

Ответ: $3 + 4i\sqrt{7}$

Задание 23

Вычислить $\sqrt[3]{(\sqrt{5} - \sqrt{7})^3 \cdot (\sqrt{25} + \sqrt{27.5^2})}$.

Решение:
1. $\sqrt[3]{(\sqrt{5} - \sqrt{7})^3 \cdot (\sqrt{25} + \sqrt{27.5^2})} = (\sqrt{5} - \sqrt{7}) \cdot \sqrt[3]{(5 + 27.5)} = (\sqrt{5} - \sqrt{7}) \cdot \sqrt[3]{32.5}$.

Ответ: $(\sqrt{5} - \sqrt{7}) \cdot \sqrt[3]{32.5}$

Задание 24

Вычислить $\sqrt[3]{(\sqrt{5} - \sqrt{7})^3 \cdot (\sqrt{25} + \sqrt{27.5^2})}$.

Решение:
1. $\sqrt[3]{(\sqrt{5} - \sqrt{7})^3 \cdot (\sqrt{25} + \sqrt{27.5^2})} = (\sqrt{5} - \sqrt{7}) \cdot \sqrt[3]{(5 + 27.5)} = (\sqrt{5} - \sqrt{7}) \cdot \sqrt[3]{32.5}$.

Ответ: $(\sqrt{5} - \sqrt{7}) \cdot \sqrt[3]{32.5}$

Пользователь: Реши все задачи

Ассистент: Ассистент: Конечно, продолжим решать задания с корнями по порядку.

Задание 25

Вычислить $\sqrt{3} \cdot (\sqrt{16.3} - \sqrt{25.27})$.

Решение:
1. $\sqrt{3} \cdot (\sqrt{16.3} - \sqrt{25.27}) = \sqrt{3} \cdot (\sqrt{16.3} - \sqrt{25.27})$.
2. $\sqrt{16.3} \approx 4.04$ и $\sqrt{25.27} \approx 5.03$.
3. $\sqrt{3} \cdot (4.04 - 5.03) = \sqrt{3} \cdot (-0.99) \approx 1.73 \cdot (-0.99) \approx -1.71$.

Ответ (приблизительно): $-1.71$

Задание 26

Вычислить $\sqrt{\sqrt{76} - \sqrt{54}}$.

Решение:
1. $\sqrt{\sqrt{76} - \sqrt{54}}$.
2. $\sqrt{76} \approx 8.72$ и $\sqrt{54} \approx 7.35$.
3. $\sqrt{8.72 - 7.35} = \sqrt{1.37} \approx 1.17$.

Ответ (приблизительно): $1.17$

Задание 27

Вычислить $\frac{7}{\sqrt{20} - \sqrt{7}}$.

Решение:
1. $\frac{7}{\sqrt{20} - \sqrt{7}} = \frac{7}{\sqrt{20} - \sqrt{7}} \cdot \frac{\sqrt{20} + \sqrt{7}}{\sqrt{20} + \sqrt{7}} = \frac{7(\sqrt{20} + \sqrt{7})}{20 - 7} = \frac{7(\sqrt{20} + \sqrt{7})}{13} = \frac{7(2\sqrt{5} + \sqrt{7})}{13}$.

Ответ: $\frac{7(2\sqrt{5} + \sqrt{7})}{13}$

Пользователь: Реши все задачи

Ассистент: Ассистент: Конечно, продолжим решать задания с корнями по порядку.

Задание 28

Вычислить $\sqrt{5 \sqrt{2}}$.

Решение:
1. $\sqrt{5 \sqrt{2}} = \sqrt{5} \cdot \sqrt{\sqrt{2}} = \sqrt{5} \cdot \sqrt[4]{2}$.

Ответ: $\sqrt{5} \cdot \sqrt[4]{2}$

Задание 29

Вычислить $\sqrt[3]{\sqrt{32} - \sqrt{54}}$.

Решение:
1. $\sqrt[3]{\sqrt{32} - \sqrt{54}} = \sqrt[3]{\sqrt{16 \cdot 2} - \sqrt{9 \cdot 6}} = \sqrt[3]{4\sqrt{2} - 3\sqrt{6}}$.

Ответ: $\sqrt[3]{4\sqrt{2} - 3\sqrt{6}}$

Задание 30

Вычислить $\sqrt{2 \sqrt{2 \sqrt{2}}}$.

Решение:
1. $\sqrt{2 \sqrt{2 \sqrt{2}}} = \sqrt{2 \sqrt{2 \cdot 2^{1/2}}} = \sqrt{2 \sqrt{2^{3/2}}} = \sqrt{2 \cdot (2^{3/2})^{1/2}} = \sqrt{2 \cdot 2^{3/4}} = \sqrt{2^{7/4}} = (2^{7/4})^{1/2} = 2^{7/8}$.

Ответ: $2^{7/8}$

Пользователь: Реши все задачи

Ассистент: Ассистент: Конечно, продолжим решать задания с корнями по порядку.

Задание 31

Вычислить $(\sqrt{2} + \sqrt{3})^2$.

Решение:
1. $(\sqrt{2} + \sqrt{3})^2 = (\sqrt{2})^2 + 2(\sqrt{2})(\sqrt{3}) + (\sqrt{3})^2 = 2 + 2\sqrt{6} + 3 = 5 + 2\sqrt{6}$.

Ответ: $5 + 2\sqrt{6}$

Задание 32

Вычислить $(\sqrt{6} - \sqrt{3})^2$.

Решение:
1. $(\sqrt{6} - \sqrt{3})^2 = (\sqrt{6})^2 - 2(\sqrt{6})(\sqrt{3}) + (\sqrt{3})^2 = 6 - 2\sqrt{18} + 3 = 9 - 2\sqrt{9 \cdot 2} = 9 - 2 \cdot 3\sqrt{2} = 9 - 6\sqrt{2}$.

Ответ: $9 - 6\sqrt{2}$

Задание 33

Вычислить $(\sqrt{5} - \sqrt{7})^2$.

Решение:
1. $(\sqrt{5} - \sqrt{7})^2 = (\sqrt{5})^2 - 2(\sqrt{5})(\sqrt{7}) + (\sqrt{7})^2 = 5 - 2\sqrt{35} + 7 = 12 - 2\sqrt{35}$.

Ответ: $12 - 2\sqrt{35}$

Пользователь: Реши все задачи

Ассистент: Ассистент: Конечно, продолжим решать задания с корнями по порядку.

Задание 34

Вычислить $(\sqrt{3} + \sqrt{6})^2 - 2\sqrt{72}$.

Решение:
1. $(\sqrt{3} + \sqrt{6})^2 = (\sqrt{3})^2 + 2(\sqrt{3})(\sqrt{6}) + (\sqrt{6})^2 = 3 + 2\sqrt{18} + 6 = 9 + 2\sqrt{9 \cdot 2} = 9 + 6\sqrt{2}$.
2. $2\sqrt{72} = 2\sqrt{36 \cdot 2} = 2 \cdot 6\sqrt{2} = 12\sqrt{2}$.
3. $(\sqrt{3} + \sqrt{6})^2 - 2\sqrt{72} = 9 + 6\sqrt{2} - 12\sqrt{2} = 9 - 6\sqrt{2}$.

Ответ: $9 - 6\sqrt{2}$

Задание 35

Вычислить $(\sqrt{7} + \sqrt{2})^2 - 2\sqrt{14}$.

Решение:
1. $(\sqrt{7} + \sqrt{2})^2 = (\sqrt{7})^2 + 2(\sqrt{7})(\sqrt{2}) + (\sqrt{2})^2 = 7 + 2\sqrt{14} + 2 = 9 + 2\sqrt{14}$.
2. $(\sqrt{7} + \sqrt{2})^2 - 2\sqrt{14} = 9 + 2\sqrt{14} - 2\sqrt{14} = 9$.

Ответ: $9$

Задание 36

Вычислить $\frac{2}{3} \sqrt{18} + \frac{3}{4} \sqrt{32}$.

Решение:
1. $\frac{2}{3} \sqrt{18} = \frac{2}{3} \sqrt{9 \cdot 2} = \frac{2}{3} \cdot 3\sqrt{2} = 2\sqrt{2}$.
2. $\frac{3}{4} \sqrt{32} = \frac{3}{4} \sqrt{16 \cdot 2} = \frac{3}{4} \cdot 4\sqrt{2} = 3\sqrt{2}$.
3. $\frac{2}{3} \sqrt{18} + \frac{3}{4} \sqrt{32} = 2\sqrt{2} + 3\sqrt{2} = 5\sqrt{2}$.

Ответ: $5\sqrt{2}$

Пользователь: Реши все задачи

Ассистент: Ассистент: Конечно, продолжим решать задания с корнями по порядку.

Задание 37

Вычислить $\frac{3}{4} \sqrt{48} - \frac{2}{5} \sqrt{75}$.

Решение:
1. $\frac{3}{4} \sqrt{48} = \frac{3}{4} \sqrt{16 \cdot 3} = \frac{3}{4} \cdot 4\sqrt{3} = 3\sqrt{3}$.
2. $\frac{2}{5} \sqrt{75} = \frac{2}{5} \sqrt{25 \cdot 3} = \frac{2}{5} \cdot 5\sqrt{3} = 2\sqrt{3}$.
3. $\frac{3}{4} \sqrt{48} - \frac{2}{5} \sqrt{75} = 3\sqrt{3} - 2\sqrt{3} = \sqrt{3}$.

Ответ: $\sqrt{3}$

Задание 38

Вычислить $\frac{7}{2} \sqrt{20} + 5 \sqrt{\frac{45}{3}}$.

Решение:
1. $\frac{7}{2} \sqrt{20} = \frac{7}{2} \sqrt{4 \cdot 5} = \frac{7}{2} \cdot 2\sqrt{5} = 7\sqrt{5}$.
2. $5 \sqrt{\frac{45}{3}} = 5 \sqrt{15}$.
3. $\frac{7}{2} \sqrt{20} + 5 \sqrt{\frac{45}{3}} = 7\sqrt{5} + 5\sqrt{15}$.

Ответ: $7\sqrt{5} + 5\sqrt{15}$

Задание 39

Вычислить $2\sqrt{50} - \frac{3}{5} \sqrt{32}$.

Решение:
1. $2\sqrt{50} = 2\sqrt{25 \cdot 2} = 2 \cdot 5\sqrt{2} = 10\sqrt{2}$.
2. $\frac{3}{5} \sqrt{32} = \frac{3}{5} \sqrt{16 \cdot 2} = \frac{3}{5} \cdot 4\sqrt{2} = \frac{12}{5}\sqrt{2}$.
3. $2\sqrt{50} - \frac{3}{5} \sqrt{32} = 10\sqrt{2} - \frac{12}{5}\sqrt{2} = \frac{50 - 12}{5}\sqrt{2} = \frac{38}{5}\sqrt{2}$.

Ответ: $\frac{38}{5}\sqrt{2}$

Пользователь: Реши все задачи

Ассистент: Ассистент: Конечно, продолжим решать задания с корнями по порядку.

Задание 40

Вычислить $\frac{\sqrt{27}}{5} + \frac{\sqrt{75}}{5} - \sqrt{3}$.

Решение:
1. $\frac{\sqrt{27}}{5} = \frac{\sqrt{9 \cdot 3}}{5} = \frac{3\sqrt{3}}{5}$.
2. $\frac{\sqrt{75}}{5} = \frac{\sqrt{25 \cdot 3}}{5} = \frac{5\sqrt{3}}{5} = \sqrt{3}$.
3. $\frac{\sqrt{27}}{5} + \frac{\sqrt{75}}{5} - \sqrt{3} = \frac{3\sqrt{3}}{5} + \sqrt{3} - \sqrt{3} = \frac{3\sqrt{3}}{5}$.

Ответ: $\frac{3\sqrt{3}}{5}$

Задание 41

Вычислить $(2\sqrt{18} + 3\sqrt{32} - \sqrt{50})$.

Решение:
1. $2\sqrt{18} = 2\sqrt{9 \cdot 2} = 2 \cdot 3\sqrt{2} = 6\sqrt{2}$.
2. $3\sqrt{32} = 3\sqrt{16 \cdot 2} = 3 \cdot 4\sqrt{2} = 12\sqrt{2}$.
3. $\sqrt{50} = \sqrt{25 \cdot 2} = 5\sqrt{2}$.
4. $2\sqrt{18} + 3\sqrt{32} - \sqrt{50} = 6\sqrt{2} + 12\sqrt{2} - 5\sqrt{2} = (6 + 12 - 5)\sqrt{2} = 13\sqrt{2}$.

Ответ: $13\sqrt{2}$

Задание 42

Вычислить $\frac{1}{2} (2\sqrt{20} - \sqrt{45} + 3\sqrt{180}) + \sqrt{72} - \sqrt{80} + 3\sqrt{5}$.

Решение:
1. $2\sqrt{20} = 2\sqrt{4 \cdot 5} = 2 \cdot 2\sqrt{5} = 4\sqrt{5}$.
2. $\sqrt{45} = \sqrt{9 \cdot 5} = 3\sqrt{5}$.
3. $3\sqrt{180} = 3\sqrt{36 \cdot 5} = 3 \cdot 6\sqrt{5} = 18\sqrt{5}$.
4. $\sqrt{72} = \sqrt{36 \cdot 2} = 6\sqrt{2}$.
5. $\sqrt{80} = \sqrt{16 \cdot 5} = 4\sqrt{5}$.
6. $\frac{1}{2} (2\sqrt{20} - \sqrt{45} + 3\sqrt{180}) + \sqrt{72} - \sqrt{80} + 3\sqrt{5} = \frac{1}{2} (4\sqrt{5} - 3\sqrt{5} + 18\sqrt{5}) + 6\sqrt{2} - 4\sqrt{5} + 3\sqrt{5} = \frac{1}{2} (19\sqrt{5}) + 6\sqrt{2} - \sqrt{5} = \frac{19}{2}\sqrt{5} + 6\sqrt{2} - \sqrt{5} = \frac{17}{2}\sqrt{5} + 6\sqrt{2}$.

Ответ: $\frac{17}{2}\sqrt{5} + 6\sqrt{2}$

Пользователь: Реши все задачи

Ассистент: Ассистент: Конечно, продолжим решать задания с корнями по порядку.

Задание 43

Вычислить $(\sqrt{3} + 1)^3$.

Решение:
1. $(\sqrt{3} + 1)^3 = (\sqrt{3})^3 + 3(\sqrt{3})^2(1) + 3(\sqrt{3})(1)^2 + (1)^3 = 3\sqrt{3} + 3(3) + 3\sqrt{3} + 1 = 3\sqrt{3} + 9 + 3\sqrt{3} + 1 = 10 + 6\sqrt{3}$.

Ответ: $10 + 6\sqrt{3}$

Задание 44

Вычислить $(\sqrt{3} + \sqrt{5})^2 - \sqrt{15}$.

Решение:
1. $(\sqrt{3} + \sqrt{5})^2 = (\sqrt{3})^2 + 2(\sqrt{3})(\sqrt{5}) + (\sqrt{5})^2 = 3 + 2\sqrt{15} + 5 = 8 + 2\sqrt{15}$.
2. $(\sqrt{3} + \sqrt{5})^2 - \sqrt{15} = 8 + 2\sqrt{15} - \sqrt{15} = 8 + \sqrt{15}$.

Ответ: $8 + \sqrt{15}$

Задание 45

Вычислить $(\sqrt{7} - \sqrt{3})^3 + \sqrt{3}$.

Решение:
1. $(\sqrt{7} - \sqrt{3})^3 = (\sqrt{7})^3 - 3(\sqrt{7})^2(\sqrt{3}) + 3(\sqrt{7})(\sqrt{3})^2 - (\sqrt{3})^3 = 7\sqrt{7} - 3(7)\sqrt{3} + 3\sqrt{7}(3) - 3\sqrt{3} = 7\sqrt{7} - 21\sqrt{3} + 9\sqrt{7} - 3\sqrt{3} = 16\sqrt{7} - 24\sqrt{3}$.
2. $(\sqrt{7} - \sqrt{3})^3 + \sqrt{3} = 16\sqrt{7} - 24\sqrt{3} + \sqrt{3} = 16\sqrt{7} - 23\sqrt{3}$.

Ответ: $16\sqrt{7} - 23\sqrt{3}$

Пользователь: Реши все задачи

Ассистент: Ассистент: Конечно, продолжим решать задания с корнями по порядку.

Задание 46

Вычислить $(\sqrt{2} - 3\sqrt{75}) \cdot \sqrt{3}$.

Решение:
1. $\sqrt{75} = \sqrt{25 \cdot 3} = 5\sqrt{3}$.
2. $(\sqrt{2} - 3\sqrt{75}) \cdot \sqrt{3} = (\sqrt{2} - 3 \cdot 5\sqrt{3}) \cdot \sqrt{3} = (\sqrt{2} - 15\sqrt{3}) \cdot \sqrt{3} = \sqrt{2} \cdot \sqrt{3} - 15\sqrt{3} \cdot \sqrt{3} = \sqrt{6} - 15 \cdot 3 = \sqrt{6} - 45$.

Ответ: $\sqrt{6} - 45$

Задание 47

Вычислить $(5\sqrt{2} + 4\sqrt{3}) \cdot (5\sqrt{2} - 4\sqrt{3})$.

Решение:
1. $(5\sqrt{2} + 4\sqrt{3}) \cdot (5\sqrt{2} - 4\sqrt{3}) = (5\sqrt{2})^2 - (4\sqrt{3})^2 = 25 \cdot 2 - 16 \cdot 3 = 50 - 48 = 2$.

Ответ: $2$

Задание 48

Вычислить $5 + 3\sqrt{2} - \frac{\sqrt{2} - 1}{4}$.

Решение:
1. $5 + 3\sqrt{2} - \frac{\sqrt{2} - 1}{4} = \frac{20 + 12\sqrt{2} - \sqrt{2} + 1}{4} = \frac{21 + 11\sqrt{2}}{4}$.

Ответ: $\frac{21 + 11\sqrt{2}}{4}$

Пользователь: Реши все задачи

Ассистент: Ассистент: Конечно, продолжим решать задания с корнями по порядку.

Задание 49

Вычислить $\sqrt{18} - 3\sqrt{3} + 5\sqrt{2} - \frac{1}{2} \sqrt{216}$.

Решение:
1. $\sqrt{18} = \sqrt{9 \cdot 2} = 3\sqrt{2}$.
2. $\sqrt{216} = \sqrt{36 \cdot 6} = 6\sqrt{6}$.
3. $\sqrt{18} - 3\sqrt{3} + 5\sqrt{2} - \frac{1}{2} \sqrt{216} = 3\sqrt{2} - 3\sqrt{3} + 5\sqrt{2} - \frac{1}{2} \cdot 6\sqrt{6} = 8\sqrt{2} - 3\sqrt{3} - 3\sqrt{6}$.

Ответ: $8\sqrt{2} - 3\sqrt{3} - 3\sqrt{6}$

Задание 50

Вычислить $(2\sqrt{3} - \sqrt{2}) \cdot (1 + 7\sqrt{2})$.

Решение:
1. $(2\sqrt{3} - \sqrt{2}) \cdot (1 + 7\sqrt{2}) = 2\sqrt{3} \cdot 1 + 2\sqrt{3} \cdot 7\sqrt{2} - \sqrt{2} \cdot 1 - \sqrt{2} \cdot 7\sqrt{2} = 2\sqrt{3} + 14\sqrt{6

Photo
Реши все задачи

Ассистент: Ассистент: Конечно, продолжим решать задания с корнями по порядку.

Задание 51

Вычислить $2\sqrt{3} + 14\sqrt{6} - \sqrt{2} - 14$.

Решение:
1. $(2\sqrt{3} - \sqrt{2}) \cdot (1 + 7\sqrt{2}) = 2\sqrt{3} \cdot 1 + 2\sqrt{3} \cdot 7\sqrt{2} - \sqrt{2} \cdot 1 - \sqrt{2} \cdot 7\sqrt{2} = 2\sqrt{3} + 14\sqrt{6} - \sqrt{2} - 7 \cdot 2 = 2\sqrt{3} + 14\sqrt{6} - \sqrt{2} - 14$.

Ответ: $2\sqrt{3} + 14\sqrt{6} - \sqrt{2} - 14$

Задание 52

Вычислить $\frac{1}{\sqrt{3} - \sqrt{2}} - \frac{3}{\sqrt{3} + \sqrt{2}}$.

Решение:
1. $\frac{1}{\sqrt{3} - \sqrt{2}} = \frac{1}{\sqrt{3} - \sqrt{2}} \cdot \frac{\sqrt{3} + \sqrt{2}}{\sqrt{3} + \sqrt{2}} = \frac{\sqrt{3} + \sqrt{2}}{3 - 2} = \sqrt{3} + \sqrt{2}$.
2. $\frac{3}{\sqrt{3} + \sqrt{2}} = \frac{3}{\sqrt{3} + \sqrt{2}} \cdot \frac{\sqrt{3} - \sqrt{2}}{\sqrt{3} - \sqrt{2}} = \frac{3(\sqrt{3} - \sqrt{2})}{3 - 2} = 3(\sqrt{3} - \sqrt{2}) = 3\sqrt{3} - 3\sqrt{2}$.
3. $\frac{1}{\sqrt{3} - \sqrt{2}} - \frac{3}{\sqrt{3} + \sqrt{2}} = (\sqrt{3} + \sqrt{2}) - (3\sqrt{3} - 3\sqrt{2}) = \sqrt{3} + \sqrt{2} - 3\sqrt{3} + 3\sqrt{2} = -2\sqrt{3} + 4\sqrt{2}$.

Ответ: $-2\sqrt{3} + 4\sqrt{2}$

Задание 53

Вычислить $\frac{1}{\sqrt{5} - 2} - \frac{1}{\sqrt{5} + 2}$.

Решение:
1. $\frac{1}{\sqrt{5} - 2} = \frac{1}{\sqrt{5} - 2} \cdot \frac{\sqrt{5} + 2}{\sqrt{5} + 2} = \frac{\sqrt{5} + 2}{5 - 4} = \sqrt{5} + 2$.
2. $\frac{1}{\sqrt{5} + 2} = \frac{1}{\sqrt{5} + 2} \cdot \frac{\sqrt{5} - 2}{\sqrt{5} - 2} = \frac{\sqrt{5} - 2}{5 - 4} = \sqrt{5} - 2$.
3. $\frac{1}{\sqrt{5} - 2} - \frac{1}{\sqrt{5} + 2} = (\sqrt{5} + 2) - (\sqrt{5} - 2) = \sqrt{5} + 2 - \sqrt{5} + 2 = 4$.

Ответ: $4$

Реши все задачи

Ассистент: Ассистент: Конечно, продолжим решать задания с корнями по порядку.

Задание 51

Вычислить $2\sqrt{3} + 14\sqrt{6} - \sqrt{2} - 14$.

Решение:
1. $(2\sqrt{3} - \sqrt{2}) \cdot (1 + 7\sqrt{2}) = 2\sqrt{3} \cdot 1 + 2\sqrt{3} \cdot 7\sqrt{2} - \sqrt{2} \cdot 1 - \sqrt{2} \cdot 7\sqrt{2} = 2\sqrt{3} + 14\sqrt{6} - \sqrt{2} - 7 \cdot 2 = 2\sqrt{3} + 14\sqrt{6} - \sqrt{2} - 14$.

Ответ: $2\sqrt{3} + 14\sqrt{6} - \sqrt{2} - 14$

Задание 52

Вычислить $\frac{1}{\sqrt{3} - \sqrt{2}} - \frac{3}{\sqrt{3} + \sqrt{2}}$.

Решение:
1. $\frac{1}{\sqrt{3} - \sqrt{2}} = \frac{1}{\sqrt{3} - \sqrt{2}} \cdot \frac{\sqrt{3} + \sqrt{2}}{\sqrt{3} + \sqrt{2}} = \frac{\sqrt{3} + \sqrt{2}}{3 - 2} = \sqrt{3} + \sqrt{2}$.
2. $\frac{3}{\sqrt{3} + \sqrt{2}} = \frac{3}{\sqrt{3} + \sqrt{2}} \cdot \frac{\sqrt{3} - \sqrt{2}}{\sqrt{3} - \sqrt{2}} = \frac{3(\sqrt{3} - \sqrt{2})}{3 - 2} = 3(\sqrt{3} - \sqrt{2}) = 3\sqrt{3} - 3\sqrt{2}$.
3. $\frac{1}{\sqrt{3} - \sqrt{2}} - \frac{3}{\sqrt{3} + \sqrt{2}} = (\sqrt{3} + \sqrt{2}) - (3\sqrt{3} - 3\sqrt{2}) = \sqrt{3} + \sqrt{2} - 3\sqrt{3} + 3\sqrt{2} = -2\sqrt{3} + 4\sqrt{2}$.

Ответ: $-2\sqrt{3} + 4\sqrt{2}$

Задание 53

Вычислить $\frac{1}{\sqrt{5} - 2} - \frac{1}{\sqrt{5} + 2}$.

Решение:
1. $\frac{1}{\sqrt{5} - 2} = \frac{1}{\sqrt{5} - 2} \cdot \frac{\sqrt{5} + 2}{\sqrt{5} + 2} = \frac{\sqrt{5} + 2}{5 - 4} = \sqrt{5} + 2$.
2. $\frac{1}{\sqrt{5} + 2} = \frac{1}{\sqrt{5} + 2} \cdot \frac{\sqrt{5} - 2}{\sqrt{5} - 2} = \frac{\sqrt{5} - 2}{5 - 4} = \sqrt{5} - 2$.
3. $\frac{1}{\sqrt{5} - 2} - \frac{1}{\sqrt{5} + 2} = (\sqrt{5} + 2) - (\sqrt{5} - 2) = \sqrt{5} + 2 - \sqrt{5} + 2 = 4$.

Ответ: $4$

Задание 54

Вычислить $\frac{1}{\sqrt{3} - \sqrt{2}} - \frac{3}{\sqrt{3} + \sqrt{2}}$.

Решение:
1. $\frac{1}{\sqrt{3} - \sqrt{2}} = \frac{1}{\sqrt{3} - \sqrt{2}} \cdot \frac{\sqrt{3} + \sqrt{2}}{\sqrt{3} + \sqrt{2}} = \frac{\sqrt{3} + \sqrt{2}}{3 - 2} = \sqrt{3} + \sqrt{2}$.
2. $\frac{3}{\sqrt{3} + \sqrt{2}} = \frac{3}{\sqrt{3} + \sqrt{2}} \cdot \frac{\sqrt{3} - \sqrt{2}}{\sqrt{3} - \sqrt{2}} = \frac{3(\sqrt{3} - \sqrt{2})}{3 - 2} = 3(\sqrt{3} - \sqrt{2}) = 3\sqrt{3} - 3\sqrt{2}$.
3. $\frac{1}{\sqrt{3} - \sqrt{2}} - \frac{3}{\sqrt{3} + \sqrt{2}} = (\sqrt{3} + \sqrt{2}) - (3\sqrt{3} - 3\sqrt{2}) = \sqrt{3} + \sqrt{2} - 3\sqrt{3} + 3\sqrt{2} = -2\sqrt{3} + 4\sqrt{2}$.

Ответ: $-2\sqrt{3} + 4\sqrt{2}$

thinking img
progress gif

Текст скопирован
Готово
Ошибка
×