Задание а)
Решим уравнение: $4(x - 5) - (7x + 9) = 1$
Шаг 1: Раскроем скобки.
При раскрытии скобок, умножаем число перед скобкой на каждый член внутри скобки. Если перед скобкой стоит знак минус, меняем знаки всех членов внутри скобки на противоположные.
$4x - 4 \cdot 5 - 7x - 9 = 1$
$4x - 20 - 7x - 9 = 1$
Шаг 2: Сгруппируем подобные члены.
Объединим все члены с $x$ на одной стороне уравнения и все постоянные члены на другой стороне.
$(4x - 7x) + (-20 - 9) = 1$
$-3x - 29 = 1$
Шаг 3: Перенесем постоянные члены в правую часть уравнения.
Для этого прибавим 29 к обеим частям уравнения.
$-3x = 1 + 29$
$-3x = 30$
Шаг 4: Найдем значение $x$.
Разделим обе части уравнения на -3.
$x = \frac{30}{-3}$
$x = -10$
Таким образом, решением уравнения является $x = -10$.
Задание б)
Решим уравнение: $2x - 3(4 - x) = 5 - (x - 1)$
Шаг 1: Раскроем скобки.
При раскрытии скобок, умножаем число перед скобкой на каждый член внутри скобки. Если перед скобкой стоит знак минус, меняем знаки всех членов внутри скобки на противоположные.
$2x - 3 \cdot 4 - 3 \cdot (-x) = 5 - x + 1$
$2x - 12 + 3x = 5 - x + 1$
Шаг 2: Сгруппируем подобные члены на каждой стороне уравнения.
$(2x + 3x) - 12 = (5 + 1) - x$
$5x - 12 = 6 - x$
Шаг 3: Перенесем все члены с $x$ в левую часть, а постоянные члены в правую часть уравнения.
Для этого прибавим $x$ к обеим частям и прибавим 12 к обеим частям.
$5x + x = 6 + 12$
$6x = 18$
Шаг 4: Найдем значение $x$.
Разделим обе части уравнения на 6.
$x = \frac{18}{6}$
$x = 3$
Таким образом, решением уравнения является $x = 3$.
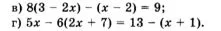
Задание В
Решим уравнение: $8(3 - 2x) - (x - 2) = 9$
Шаг 1: Раскроем скобки.
Умножим 8 на каждое слагаемое в первой скобке и изменим знаки слагаемых во второй скобке, так как перед ней стоит минус.
$8 \cdot 3 - 8 \cdot 2x - x + 2 = 9$
$24 - 16x - x + 2 = 9$
Шаг 2: Приведем подобные слагаемые.
Сгруппируем члены с $x$ и свободные члены.
$(-16x - x) + (24 + 2) = 9$
$-17x + 26 = 9$
Шаг 3: Перенесем свободные члены в правую часть уравнения.
Вычтем 26 из обеих частей уравнения.
$-17x = 9 - 26$
$-17x = -17$
Шаг 4: Найдем значение $x$.
Разделим обе части уравнения на -17.
$x = \frac{-17}{-17}$
$x = 1$
Ответ: $x = 1$
Задание Г
Решим уравнение: $5x - 6(2x + 7) = 13 - (x + 1)$
Шаг 1: Раскроем скобки.
Умножим -6 на каждое слагаемое в первой скобке и изменим знаки слагаемых во второй скобке, так как перед ней стоит минус.
$5x - 6 \cdot 2x - 6 \cdot 7 = 13 - x - 1$
$5x - 12x - 42 = 13 - x - 1$
Шаг 2: Приведем подобные слагаемые в обеих частях уравнения.
Сгруппируем члены с $x$ и свободные члены.
$(5x - 12x) - 42 = (13 - 1) - x$
$-7x - 42 = 12 - x$
Шаг 3: Перенесем все члены с $x$ в левую часть, а свободные члены — в правую.
Прибавим $x$ к обеим частям и прибавим 42 к обеим частям.
$-7x + x = 12 + 42$
$-6x = 54$
Шаг 4: Найдем значение $x$.
Разделим обе части уравнения на -6.
$x = \frac{54}{-6}$
$x = -9$
Ответ: $x = -9$
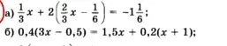
Задание a)
Решим уравнение: $\frac{1}{3}x + 2\left(\frac{2}{3}x - \frac{1}{6}\right) = -1\frac{1}{6}$
Шаг 1: Преобразуем смешанную дробь в неправильную.
$-1\frac{1}{6} = -\frac{1 \cdot 6 + 1}{6} = -\frac{7}{6}$
Уравнение примет вид:
$\frac{1}{3}x + 2\left(\frac{2}{3}x - \frac{1}{6}\right) = -\frac{7}{6}$
Шаг 2: Раскроем скобки.
$\frac{1}{3}x + 2 \cdot \frac{2}{3}x - 2 \cdot \frac{1}{6} = -\frac{7}{6}$
$\frac{1}{3}x + \frac{4}{3}x - \frac{2}{6} = -\frac{7}{6}$
Шаг 3: Упростим дроби и приведем подобные слагаемые.
$\frac{1}{3}x + \frac{4}{3}x - \frac{1}{3} = -\frac{7}{6}$
$\frac{1+4}{3}x - \frac{1}{3} = -\frac{7}{6}$
$\frac{5}{3}x - \frac{1}{3} = -\frac{7}{6}$
Шаг 4: Перенесем свободный член в правую часть уравнения.
$\frac{5}{3}x = -\frac{7}{6} + \frac{1}{3}$
Шаг 5: Приведем дроби в правой части к общему знаменателю (6).
$\frac{5}{3}x = -\frac{7}{6} + \frac{1 \cdot 2}{3 \cdot 2}$
$\frac{5}{3}x = -\frac{7}{6} + \frac{2}{6}$
$\frac{5}{3}x = \frac{-7+2}{6}$
$\frac{5}{3}x = -\frac{5}{6}$
Шаг 6: Найдем $x$, разделив обе части уравнения на $\frac{5}{3}$ (или умножив на обратную дробь $\frac{3}{5}$).
$x = -\frac{5}{6} \div \frac{5}{3}$
$x = -\frac{5}{6} \cdot \frac{3}{5}$
$x = -\frac{5 \cdot 3}{6 \cdot 5}$
$x = -\frac{15}{30}$
$x = -\frac{1}{2}$
Ответ: $x = -\frac{1}{2}$
Задание б)
Решим уравнение: $0,4(3x - 0,5) = 1,5x + 0,2(x + 1)$
Шаг 1: Раскроем скобки в обеих частях уравнения.
$0,4 \cdot 3x - 0,4 \cdot 0,5 = 1,5x + 0,2 \cdot x + 0,2 \cdot 1$
$1,2x - 0,2 = 1,5x + 0,2x + 0,2$
Шаг 2: Приведем подобные слагаемые в правой части уравнения.
$1,2x - 0,2 = (1,5 + 0,2)x + 0,2$
$1,2x - 0,2 = 1,7x + 0,2$
Шаг 3: Перенесем все члены с $x$ в одну сторону, а свободные члены — в другую.
$1,2x - 1,7x = 0,2 + 0,2$
Шаг 4: Выполним вычисления.
$(1,2 - 1,7)x = 0,4$
$-0,5x = 0,4$
Шаг 5: Найдем $x$, разделив обе части уравнения на $-0,5$.
$x = \frac{0,4}{-0,5}$
$x = -\frac{4}{5}$
$x = -0,8$
Ответ: $x = -0,8$
Задание в)
Решим уравнение: $8(3 - 2x) - (x - 2) = 9$
Шаг 1: Раскроем скобки.
Умножим 8 на каждый член в первой скобке. Перед второй скобкой стоит знак минус, поэтому меняем знаки всех членов внутри скобки на противоположные.
$8 \cdot 3 - 8 \cdot 2x - x + 2 = 9$
$24 - 16x - x + 2 = 9$
Шаг 2: Сгруппируем подобные члены.
Объединим все члены с $x$ и все постоянные члены.
$(-16x - x) + (24 + 2) = 9$
$-17x + 26 = 9$
Шаг 3: Перенесем постоянные члены в правую часть уравнения.
Вычтем 26 из обеих частей уравнения.
$-17x = 9 - 26$
$-17x = -17$
Шаг 4: Найдем значение $x$.
Разделим обе части уравнения на -17.
$x = \frac{-17}{-17}$
$x = 1$
Таким образом, решением уравнения является $x = 1$.
Задание г)
Решим уравнение: $5x - 6(2x + 7) = 13 - (x + 1)$
Шаг 1: Раскроем скобки.
Умножим -6 на каждый член в первой скобке. Перед второй скобкой стоит знак минус, поэтому меняем знаки всех членов внутри скобки на противоположные.
$5x - 6 \cdot 2x - 6 \cdot 7 = 13 - x - 1$
$5x - 12x - 42 = 13 - x - 1$
Шаг 2: Сгруппируем подобные члены на каждой стороне уравнения.
$(5x - 12x) - 42 = (13 - 1) - x$
$-7x - 42 = 12 - x$
Шаг 3: Перенесем все члены с $x$ в левую часть, а постоянные члены в правую часть уравнения.
Для этого прибавим $x$ к обеим частям и прибавим 42 к обеим частям.
$-7x + x = 12 + 42$
$-6x = 54$
Шаг 4: Найдем значение $x$.
Разделим обе части уравнения на -6.
$x = \frac{54}{-6}$
$x = -9$
Таким образом, решением уравнения является $x = -9$.
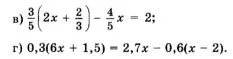
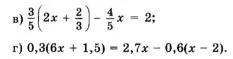
Задание В
Решим уравнение: $\frac{3}{5}(2x + \frac{2}{3}) - \frac{4}{5}x = 2$
Шаг 1: Раскроем скобки.
Умножим $\frac{3}{5}$ на каждое слагаемое в скобке.
$\frac{3}{5} \cdot 2x + \frac{3}{5} \cdot \frac{2}{3} - \frac{4}{5}x = 2$
$\frac{6}{5}x + \frac{2}{5} - \frac{4}{5}x = 2$
Шаг 2: Приведем подобные слагаемые.
Сгруппируем члены с $x$.
$(\frac{6}{5}x - \frac{4}{5}x) + \frac{2}{5} = 2$
$\frac{2}{5}x + \frac{2}{5} = 2$
Шаг 3: Перенесем свободные члены в правую часть уравнения.
Вычтем $\frac{2}{5}$ из обеих частей уравнения.
$\frac{2}{5}x = 2 - \frac{2}{5}$
$\frac{2}{5}x = \frac{10}{5} - \frac{2}{5}$
$\frac{2}{5}x = \frac{8}{5}$
Шаг 4: Найдем значение $x$.
Разделим обе части уравнения на $\frac{2}{5}$ (или умножим на $\frac{5}{2}$).
$x = \frac{8}{5} \div \frac{2}{5}$
$x = \frac{8}{5} \cdot \frac{5}{2}$
$x = \frac{8}{2}$
$x = 4$
Ответ: $x = 4$
Задание Г
Решим уравнение: $0,3(6x + 1,5) = 2,7x - 0,6(x - 2)$
Шаг 1: Раскроем скобки.
Умножим 0,3 на каждое слагаемое в первой скобке и -0,6 на каждое слагаемое во второй скобке.
$0,3 \cdot 6x + 0,3 \cdot 1,5 = 2,7x - 0,6 \cdot x - 0,6 \cdot (-2)$
$1,8x + 0,45 = 2,7x - 0,6x + 1,2$
Шаг 2: Приведем подобные слагаемые в обеих частях уравнения.
Сгруппируем члены с $x$ и свободные члены.
$1,8x + 0,45 = (2,7x - 0,6x) + 1,2$
$1,8x + 0,45 = 2,1x + 1,2$
Шаг 3: Перенесем все члены с $x$ в левую часть, а свободные члены — в правую.
Вычтем $2,1x$ из обеих частей и вычтем $0,45$ из обеих частей.
$1,8x - 2,1x = 1,2 - 0,45$
$-0,3x = 0,75$
Шаг 4: Найдем значение $x$.
Разделим обе части уравнения на -0,3.
$x = \frac{0,75}{-0,3}$
$x = -2,5$
Ответ: $x = -2,5$
Используйте Homiwork как обычное приложение. Это удобно!
Добавить на главный экранИспользуйте Homiwork как обычное приложение. Это удобно! Откройте меню Safari и нажмите 'Добавить на главный экран'.
Эта функция доступна только для пользователей с Прайм статусом
Высококачественные решения от нейросети с подробными объяснениями и визуализациями доступны эксклюзивно для пользователей с Прайм статусом.
Начав пользоваться сервисом, вы принимаете: Условия использования, Политика конфиденциальности, Политика возвратов