Сложение отрицательных чисел и дробей

Photo


{
"subject": "Математика",
"grade": 6,
"lang": "ru",
"url_subject": "math",
"title": "Решение уравнений с дробями и пропорциями",
"description": "Подробное решение задач на нахождение неизвестного числа в уравнении с дробями и пропорциями",
"keywords": ["дроби", "пропорции", "уравнения", "математика 6 класс", "смешанные числа"]
}

Давайте решим эти задачи пошагово! 📚

1) Решаем уравнение $m : 2\frac{3}{23} = 3\frac{2}{7} : 1\frac{1}{7}$

Шаг 1: Преобразуем смешанные числа в неправильные дроби
* $2\frac{3}{23} = \frac{49}{23}$ (2 × 23 + 3 = 49)
* $3\frac{2}{7} = \frac{23}{7}$ (3 × 7 + 2 = 23)
* $1\frac{1}{7} = \frac{8}{7}$ (1 × 7 + 1 = 8)

Шаг 2: Запишем уравнение с неправильными дробями
* $m : \frac{49}{23} = \frac{23}{7} : \frac{8}{7}$

Шаг 3: Деление на дробь - это умножение на обратную дробь
* $m \cdot \frac{23}{49} = \frac{23}{7} \cdot \frac{7}{8}$
* $m \cdot \frac{23}{49} = \frac{23}{8}$

Шаг 4: Умножим обе части на $\frac{49}{23}$
* $m = \frac{23}{8} \cdot \frac{49}{23} = \frac{49}{8}$

Ответ: $m = \frac{49}{8}$ или $6\frac{1}{8}$

2) Решаем уравнение $\frac{7 + x}{12} = \frac{11}{17}$

Шаг 1: Умножим обе части уравнения на 12
* $(7 + x) = \frac{11}{17} \cdot 12$

Шаг 2: Вычислим правую часть
* $7 + x = \frac{132}{17}$

Шаг 3: Вычтем 7 из обеих частей
* $x = \frac{132}{17} - 7$
* $x = \frac{132-119}{17}$
* $x = \frac{13}{17}$

Ответ: $x = \frac{13}{17}$

Photo


{
"subject": "Математика",
"grade": 7,
"lang": "ru",
"url_subject": "math",
"title": "Разложение числа на слагаемые с заданными пропорциями",
"description": "Решение задачи на представление числа в виде суммы трех натуральных слагаемых с соблюдением пропорциональных отношений",
"keywords": ["пропорции", "натуральные числа", "слагаемые", "отношения чисел", "разложение числа"]
}

Давайте решим эту задачу пошагово! 🎯

1) Разберём условие:
* Нужно найти три числа x, y и z
* Их сумма равна 246: x + y + z = 246
* Должны выполняться пропорции: x : y = 2 : 5 и y : z = 3 : 4

2) Решение через отношения:
* Пусть y = 5k, где k - некоторое число (из x : y = 2 : 5)
* Тогда x = 2k (из той же пропорции)
* Если y : z = 3 : 4 и y = 5k, то:
* 5k : z = 3 : 4
* z = $\frac{20k}{3}$

3) Составим уравнение:
* x + y + z = 246
* 2k + 5k + $\frac{20k}{3}$ = 246
* $\frac{6k + 15k + 20k}{3}$ = 246
* $\frac{41k}{3}$ = 246

4) Найдём k:
* k = $\frac{246 × 3}{41}$ = 18

5) Вычислим значения:
* x = 2k = 2 × 18 = 36
* y = 5k = 5 × 18 = 90
* z = $\frac{20k}{3}$ = $\frac{20 × 18}{3}$ = 120

6) Проверка:
* x + y + z = 36 + 90 + 120 = 246 ✓
* x : y = 36 : 90 = 2 : 5 ✓
* y : z = 90 : 120 = 3 : 4 ✓

Ответ: x = 36, y = 90, z = 120

Все числа натуральные и удовлетворяют условиям задачи. ✅

Давайте сделаем визуализацию решения с помощью графического представления пропорций и отношений чисел. Проверил решение - оно верное.




<!-- Части для x, y, z -->
<rect x="20" y="30" width="38" height="40" fill="#ff9999"/>
<rect x="58" y="30" width="95" height="40" fill="#99ff99"/>
<rect x="153" y="30" width="127" height="40" fill="#9999ff"/>

<!-- Подписи чисел -->
<text x="35" y="55" font-size="14" text-anchor="middle">36</text>
<text x="105" y="55" font-size="14" text-anchor="middle">90</text>
<text x="215" y="55" font-size="14" text-anchor="middle">120</text>

<!-- Подписи переменных -->
<text x="35" y="85" font-size="14" text-anchor="middle">x</text>
<text x="105" y="85" font-size="14" text-anchor="middle">y</text>
<text x="215" y="85" font-size="14" text-anchor="middle">z</text>

<!-- Пропорции -->
<text x="50" y="120" font-size="12">x : y = 2 : 5</text>
<text x="50" y="140" font-size="12">y : z = 3 : 4</text>

<!-- Визуализация k -->
<line x1="20" y1="180" x2="280" y2="180" stroke="black"/>
<rect x="20" y="170" width="18" height="20" fill="#ffcc99"/>
<text x="150" y="210" font-size="12" text-anchor="middle">k = 18</text>

<!-- Формулы -->
<text x="50" y="240" font-size="12">x = 2k = 36</text>
<text x="50" y="260" font-size="12">y = 5k = 90</text>
<text x="50" y="280" font-size="12">z = 20k/3 = 120</text>


На этой визуализации:
1. Верхняя полоса показывает разделение числа 246 на три части (x, y, z)
2. Цветами выделены разные части:
- Красный (x = 36)
- Зелёный (y = 90)
- Синий (z = 120)
3. Показаны пропорциональные отношения
4. Внизу приведены формулы с коэффициентом k = 18

Это наглядно демонстрирует, как число 246 разделено на три части с соблюдением заданных пропорций 2:5 и 3:4.

Photo


{
"subject": "Математика",
"grade": 5,
"lang": "ru",
"url_subject": "math",
"title": "Решение задач на масштаб",
"description": "Подробное решение задач на определение масштаба и нахождение реальных расстояний по карте",
"keywords": ["масштаб", "карта", "расстояние", "пропорции", "математика 5 класс"]
}

Давайте решим эти задачи пошагово! 📏

Задача 1:
1) Имеем: реальное расстояние = 50 м, на плане = 2 см
2) Масштаб = 50 м : 2 см = 25 м/см или 1 : 2500
Ответ: масштаб 1 : 2500

Задача 2:
1) Масштаб 1 : 200000 означает, что 1 см на карте = 200000 см в реальности
2) На карте расстояние = 23 см
3) Реальное расстояние = 23 × 200000 = 4600000 см = 46 км
Ответ: 46 км

Задача 3:
1) Масштаб 1 : 1000000 означает, что 1 см на карте = 10 км в реальности
2) Реальное расстояние = 650 км
3) На карте: 650 ÷ 10 = 65 см
Ответ: 65 см

Задача 4:
1) Масштаб 1 : 5000000 означает, что 1 см = 50 км
2) На карте расстояние = 9 см
3) Реальное расстояние = 9 × 50 = 450 км
Ответ: 450 км

Задача 5:
1) Реальный размер = 1,3 см
2) На рисунке = 13 см
3) Масштаб = 13 : 1,3 = 10
Ответ: масштаб 10 : 1




<!-- Деления на шкале -->
<line x1="50" y1="45" x2="50" y2="55" stroke="black" stroke-width="2"/>
<line x1="150" y1="45" x2="150" y2="55" stroke="black" stroke-width="2"/>
<line x1="250" y1="45" x2="250" y2="55" stroke="black" stroke-width="2"/>

<!-- Подписи -->
<text x="50" y="70" text-anchor="middle" font-size="12">0</text>
<text x="150" y="70" text-anchor="middle" font-size="12">5 см</text>
<text x="250" y="70" text-anchor="middle" font-size="12">10 см</text>

<!-- Пример масштаба -->
<rect x="50" y="100" width="200" height="40" fill="#e6e6e6" stroke="black"/>
<text x="150" y="125" text-anchor="middle" font-size="12">1 см на карте</text>

<!-- Стрелки -->
<line x1="150" y1="160" x2="150" y2="200" stroke="black" marker-end="url(#arrowhead)"/>

<!-- Реальное расстояние -->
<rect x="50" y="220" width="200" height="40" fill="#99ff99" stroke="black"/>
<text x="150" y="245" text-anchor="middle" font-size="12">Реальное расстояние</text>

<!-- Определение маркера для стрелки -->
<defs>
    <marker id="arrowhead" markerWidth="10" markerHeight="7" 
            refX="9" refY="3.5" orient="auto">
        <polygon points="0 0, 10 3.5, 0 7" fill="black"/>
    </marker>
</defs>


Этот график помогает понять принцип масштаба:
- Верхняя шкала показывает измерения на карте/плане
- Нижний прямоугольник представляет соответствующее реальное расстояние
- Стрелка показывает соотношение между ними

Важно помнить:
1. В масштабе 1:N, 1 см на карте = N см в реальности
2. Чтобы найти реальное расстояние, умножаем расстояние на карте на знаменатель масштаба
3. Чтобы найти расстояние на карте, делим реальное расстояние на знаменатель масштаба

Photo


{
"subject": "Математика",
"grade": 6,
"lang": "ru",
"url_subject": "math",
"title": "Решение задачи на окружности и проценты",
"description": "Вычисление радиусов и площадей окружностей, сравнение значений и процентное соотношение",
"keywords": ["окружность", "радиус", "площадь круга", "проценты", "длина окружности"]
}

Давайте решим задачу пошагово! 🎯

1) Найдем радиусы окружностей, используя формулу длины окружности C = 2πR:
* Для первой окружности: 57,4 = 2 × 3,1 × R₁
* R₁ = 57,4 ÷ (2 × 3,1) = 9,25 см
* Для второй окружности: 41,8 = 2 × 3,1 × R₂
* R₂ = 41,8 ÷ (2 × 3,1) = 6,74 см

2) Найдем площади окружностей по формуле S = πR²:
* Площадь первой окружности:
* S₁ = 3,1 × 9,25² = 3,1 × 85,5625 = 265,24 кв.см
* Площадь второй окружности:
* S₂ = 3,1 × 6,74² = 3,1 × 45,4276 = 140,83 кв.см

3) Сравним площади:
* 265,24 > 140,83
* S₁ > S₂

4) Найдем процентное отношение радиусов:
* (9,25 ÷ 6,74) × 100% = 137,24%
* После округления: 137%






R₁ = 9,25 см

<!-- Вторая окружность -->
<circle cx="120" cy="150" r="67.4" stroke="#4ECDC4" fill="none" stroke-width="2"/>
<line x1="120" y1="150" x2="187.4" y2="150" stroke="#4ECDC4" stroke-width="1"/>
<text x="120" y="180" text-anchor="middle" fill="#4ECDC4">R₂ = 6,74 см</text>

<!-- Процентное соотношение -->
<text x="150" y="250" text-anchor="middle">137%</text>
<path d="M120,230 L180,230" stroke="black" stroke-width="2" marker-end="url(#arrowhead)"/>

<defs>
    <marker id="arrowhead" markerWidth="10" markerHeight="7" 
            refX="9" refY="3.5" orient="auto">
        <polygon points="0 0, 10 3.5, 0 7" fill="black"/>
    </marker>
</defs>


Ответ:
* Радиус первой окружности: 9,25 см
* Радиус второй окружности: 6,74 см
* Площадь первой окружности: 265,24 кв.см
* Площадь второй окружности: 140,83 кв.см
* S₁ > S₂
* Радиус первой окружности составляет 137% от радиуса второй окружности.

На рисунке наглядно показано:
- Красным цветом - первая окружность (большая)
- Синим цветом - вторая окружность (меньшая)
- Радиусы обеих окружностей
- Процентное соотношение радиусов

Даны длины окружностей 77,8 см и 48,8 см.
а) найти радиусы окружностей ( округлив до одного знака, после запятой)
б) найти площади кругов, огрниченных окружностями
в) Сравнить полученные площади, записав сравнение в виде неравенства;
г) найти процентное отношение диаметра первой окружности к диаметру второй, округлив проценты до целой части.


{
"subject": "Математика",
"grade": 6,
"lang": "ru",
"url_subject": "math",
"title": "Решение задачи на окружности и их соотношения",
"description": "Вычисление радиусов, площадей окружностей и процентного соотношения их диаметров",
"keywords": ["окружность", "радиус", "диаметр", "площадь круга", "проценты", "сравнение"]
}

Давайте решим задачу пошагово! 🎯

а) Найдём радиусы окружностей, используя формулу C = 2πr, где π ≈ 3,14:

1) Для первой окружности:
* 77,8 = 2 × 3,14 × r₁
* r₁ = 77,8 ÷ (2 × 3,14) = 12,4 см

2) Для второй окружности:
* 48,8 = 2 × 3,14 × r₂
* r₂ = 48,8 ÷ (2 × 3,14) = 7,8 см

б) Найдём площади кругов по формуле S = πr²:

1) Первый круг:
* S₁ = 3,14 × 12,4² = 3,14 × 153,76 = 482,8 см²

2) Второй круг:
* S₂ = 3,14 × 7,8² = 3,14 × 60,84 = 191,0 см²

в) Сравнение площадей:
* 482,8 > 191,0

г) Процентное отношение диаметров:
* d₁ = 2r₁ = 24,8 см
* d₂ = 2r₂ = 15,6 см
* (24,8 ÷ 15,6) × 100% = 159%






r₁ = 12,4 см

<!-- Вторая окружность -->
<circle cx="150" cy="150" r="78" stroke="#4ECDC4" fill="none" stroke-width="2"/>
<line x1="150" y1="150" x2="228" y2="150" stroke="#4ECDC4" stroke-width="1"/>
<text x="150" y="180" text-anchor="middle" fill="#4ECDC4">r₂ = 7,8 см</text>

<!-- Проценты -->
<text x="150" y="250" text-anchor="middle">159%</text>

<!-- Легенда -->
<text x="20" y="280" font-size="12">S₁ = 482,8 см²</text>
<text x="20" y="295" font-size="12">S₂ = 191,0 см²</text>


Ответ:
* а) r₁ = 12,4 см; r₂ = 7,8 см
* б) S₁ = 482,8 см²; S₂ = 191,0 см²
* в) 482,8 > 191,0
* г) 159%

На рисунке:
- Красным показана первая окружность
- Синим показана вторая окружность
- Указаны радиусы обеих окружностей
- Внизу приведены значения площадей
- Процентное соотношение диаметров

Экспедиция студентов стартовала из города N при температуре на улице в 31°С. Поднявшись на вершину близлежащей горы, температура воздуха оказалась 7°С. Рассчитайте на какую высоту поднялась экспедиция.


{
"subject": "Физика",
"grade": 7,
"lang": "ru",
"url_subject": "physics",
"title": "Расчет высоты подъема по изменению температуры",
"description": "Решение задачи на определение высоты подъема с использованием зависимости температуры воздуха от высоты",
"keywords": ["температура воздуха", "высота", "градиент температуры", "атмосфера", "физика"]
}

Давайте решим эту задачу пошагово! 🏔️

1) Вспомним важный факт:
* При подъеме на каждые 1000 метров температура воздуха понижается в среднем на 6°С

2) Найдем изменение температуры:
* Начальная температура: t₁ = 31°С
* Конечная температура: t₂ = 7°С
* Изменение температуры: Δt = t₁ - t₂ = 31°С - 7°С = 24°С

3) Составим пропорцию:
* 6°С - 1000 м
* 24°С - х м

4) Решаем пропорцию:
* x = (24 × 1000) ÷ 6 = 4000




<!-- Температурная шкала -->
<line x1="270" y1="50" x2="270" y2="250" stroke="black"/>
<text x="290" y="250" font-size="12">31°C</text>
<text x="290" y="50" font-size="12">7°C</text>

<!-- Высотные метки -->
<line x1="30" y1="250" x2="30" y2="50" stroke="black"/>
<text x="10" y="250" font-size="12">0 м</text>
<text x="10" y="50" font-size="12">4000 м</text>

<!-- Путь экспедиции -->
<path d="M50,250 Q150,150 150,50" fill="none" stroke="red" stroke-dasharray="5,5"/>

<!-- Пояснения -->
<text x="150" y="280" text-anchor="middle" font-size="12">Каждые 1000 м = -6°C</text>

<!-- Стрелка направления -->
<path d="M80,200 L120,160" stroke="black" marker-end="url(#arrowhead)"/>

<defs>
    <marker id="arrowhead" markerWidth="10" markerHeight="7" 
            refX="9" refY="3.5" orient="auto">
        <polygon points="0 0, 10 3.5, 0 7" fill="black"/>
    </marker>
</defs>


Ответ: Экспедиция поднялась на высоту 4000 метров.

На рисунке показано:
- Схематическое изображение горы
- Температурная шкала справа (от 31°С до 7°С)
- Высотная шкала слева (от 0 до 4000 м)
- Красным пунктиром обозначен примерный путь экспедиции
- Указано правило изменения температуры с высотой

Интересный факт: изменение температуры с высотой называется температурным градиентом атмосферы. Значение -6°С на километр является средним показателем для тропосферы (нижнего слоя атмосферы).

Найдите длину дуги окружности, составляющей 40% длины окружности, радиус, которой равен 18
см: 3,14


{
"subject": "Математика",
"grade": 8,
"lang": "ru",
"url_subject": "math",
"title": "Нахождение длины дуги окружности",
"description": "Решение задачи на вычисление длины дуги окружности по заданному проценту и радиусу",
"keywords": ["окружность", "дуга", "радиус", "проценты", "длина окружности"]
}

Давайте решим задачу пошагово! 🎯

1) Найдём длину всей окружности по формуле C = 2πR:
* C = 2 × 3,14 × 18
* C = 113,04 см

2) Найдём длину дуги, составляющей 40% от длины окружности:
* 40% = 40/100 = 0,4
* Длина дуги = 113,04 × 0,4 = 45,216 см




<!-- Выделенная дуга (40%) -->
<path d="M150,50 A100,100 0 0,1 242,196" stroke="red" fill="none" stroke-width="3"/>

<!-- Радиус -->
<line x1="150" y1="150" x2="150" y2="50" stroke="blue" stroke-width="2"/>
<text x="140" y="100" fill="blue">18 см</text>

<!-- Подписи -->
<text x="200" y="140" fill="red">40%</text>
<text x="150" y="270" text-anchor="middle">Длина дуги = 45,216 см</text>

<!-- Центр -->
<circle cx="150" cy="150" r="3" fill="black"/>


Ответ: длина дуги равна 45,216 см

На рисунке:
- Серым цветом показана вся окружность
- Красным выделена дуга, составляющая 40% окружности
- Синим показан радиус окружности (18 см)
- Указана длина искомой дуги

Проверка:
* Полная окружность (100%) = 113,04 см
* Искомая дуга (40%) = 45,216 см
* 45,216 × 2,5 = 113,04 (подтверждает, что дуга составляет 40%)

Начертите произвольный треугольник ABC, проведите прямую, проходящую через вершину С, обозначьте полученную прямую (а). Постройте треугольник MNC, симметричный треугольнику ABC относительно прямой (а).
Файл с чертежом прикрепите к заданию.


{
"subject": "Геометрия",
"grade": 8,
"lang": "ru",
"url_subject": "geometry",
"title": "Построение симметричного треугольника",
"description": "Построение треугольника, симметричного данному относительно прямой",
"keywords": ["геометрия", "симметрия", "треугольник", "осевая симметрия", "построение"]
}

Давайте выполним построение пошагово! 📐





(a)

<!-- Исходный треугольник ABC -->
<polygon points="100,200 200,200 150,100" fill="none" stroke="blue" stroke-width="2"/>

<!-- Симметричный треугольник MNC -->
<polygon points="200,200 100,200 150,100" fill="none" stroke="red" stroke-width="2"/>

<!-- Точки и их обозначения -->
<circle cx="100" cy="200" r="3" fill="blue"/>
<text x="90" y="220" fill="blue">A</text>

<circle cx="200" cy="200" r="3" fill="blue"/>
<text x="210" y="220" fill="blue">B</text>

<circle cx="150" cy="100" r="3" fill="blue"/>
<text x="160" y="95" fill="blue">C</text>

<circle cx="200" cy="200" r="3" fill="red"/>
<text x="210" y="190" fill="red">M</text>

<circle cx="100" cy="200" r="3" fill="red"/>
<text x="90" y="190" fill="red">N</text>

<!-- Вспомогательные линии построения -->
<line x1="100" y1="200" x2="200" y2="200" stroke="#cccccc" stroke-width="1" stroke-dasharray="3,3"/>


Пояснение к построению:
1. Построен произвольный треугольник ABC (синий)
2. Проведена прямая (a), проходящая через вершину C
3. Построен симметричный треугольник MNC (красный):
- Точка C остаётся на месте, так как лежит на оси симметрии
- Точки M и N построены как симметричные точкам B и A относительно прямой (a)

Свойства построения:
- Прямая (a) является осью симметрии
- Точка C лежит на оси симметрии
- Расстояния от точек A и N до прямой (a) равны
- Расстояния от точек B и M до прямой (a) равны
- Углы между соответствующими отрезками и осью симметрии равны

На чертеже:
- Синим цветом показан исходный треугольник ABC
- Красным цветом показан симметричный треугольник MNC
- Пунктирной линией обозначена ось симметрии (a)
- Точки обозначены соответствующими буквами

Решите задачу. Решение записываем полностью. Полученные числа записываем с наименованиями, к действиям записываем пояснения. Файл с полным решением и ответом прикрепляем к заданию.
Расстояние между городами Москвой и Оренбургом - 1250 км, а на карте составило 5 см. Найдите масштаб карты, запишите его. Используя полученный масштаб карты, найдите расстояние между Иркутском и Владивостоком, если на карте оно составило 10 см


{
"subject": "Математика",
"grade": 6,
"lang": "ru",
"url_subject": "math",
"title": "Решение задачи на масштаб карты",
"description": "Нахождение масштаба карты и определение реального расстояния по карте",
"keywords": ["масштаб", "карта", "расстояние", "пропорция", "математика"]
}

Решение:

1) Найдём масштаб карты:
* Реальное расстояние = 1250 км = 125000000 см
* На карте = 5 см
* Масштаб = 125000000 : 5 = 25000000
* Записываем масштаб как 1 : 25000000

Пояснение: в масштабе 1 : 25000000 каждому 1 см на карте соответствует 25000000 см (250 км) на местности

2) Найдём расстояние между Иркутском и Владивостоком:
* На карте расстояние = 10 см
* Реальное расстояние = 10 × 25000000 = 250000000 см = 2500 км







<!-- Подписи масштаба -->
<text x="50" y="70" text-anchor="middle">0</text>
<text x="150" y="70" text-anchor="middle">5 см</text>
<text x="250" y="70" text-anchor="middle">10 см</text>

<!-- Москва-Оренбург -->
<line x1="50" y1="100" x2="150" y2="100" stroke="#FF6B6B" stroke-width="2"/>
<text x="100" y="90" text-anchor="middle" fill="#FF6B6B">1250 км</text>

<!-- Иркутск-Владивосток -->
<line x1="50" y1="150" x2="250" y2="150" stroke="#4ECDC4" stroke-width="2"/>
<text x="150" y="140" text-anchor="middle" fill="#4ECDC4">2500 км</text>

<!-- Пояснения -->
<text x="50" y="200" font-size="12">Масштаб 1 : 25000000</text>
<text x="50" y="220" font-size="12">1 см = 250 км</text>


Ответ:
1) Масштаб карты 1 : 25000000
2) Расстояние между Иркутском и Владивостоком 2500 км

На рисунке показано:
- Линейка масштаба с делениями
- Красным цветом отмечено расстояние Москва-Оренбург (5 см на карте = 1250 км)
- Синим цветом отмечено расстояние Иркутск-Владивосток (10 см на карте = 2500 км)
- Указан масштаб и соответствие 1 см на карте реальному расстоянию

Проверка:
* 5 см × 250 км = 1250 км (Москва-Оренбург)
* 10 см × 250 км = 2500 км (Иркутск-Владивосток)

Photo

Задание 1
Запишем числа, используя знаки «+» и «-»:

а) 7° тепла → +7°
б) 15° мороза → -15°
в) 3 забитых мяча → +3
г) падение уровня воды на 4 метра → -4 м
д) глубина океанской впадины 3000 м относительно уровня океана → -3000 м

Пояснение:
- Положительные значения (+) используются для величин выше нуля или прироста
- Отрицательные значения (-) используются для величин ниже нуля или убывания

Задание 2
Разберем числа из ряда: $-\frac{4}{5}; 4,5; 0; -2; 1\frac{1}{2}; 35; -2,3$

а) Целые отрицательные числа:
- (-2)

б) Целые числа:
- (-2), 0, 35

в) Неположительные числа:
- $-\frac{4}{5}$, -2, -2,3, 0

Пояснение:
- Целые отрицательные числа - это целые числа меньше нуля
- Целые числа - это числа без дробной части
- Неположительные числа - это числа меньше или равные нулю

Задание 3
Определим координаты точек на координатной прямой:

Точка A: x = 1
Точка B: x = 0,5
Точка C: x = -1
Точка D: x = 2

Пояснение:
- За начало отсчета принята точка 0
- Каждое деление на координатной прямой равно 1
- Координаты определяются расстоянием от начала координат
- Точки слева от 0 имеют отрицательные координаты
- Точки справа от 0 имеют положительные координаты

Photo

Задание 1: Вычислить значение выражения $\frac{2}{15} + \left(-\frac{3}{10}\right)$

Для сложения дробей с разными знаменателями нужно привести их к общему знаменателю.

Найдем наименьшее общее кратное (НОК) чисел 15 и 10: НОК(15, 10) = 30

Приведем дроби к общему знаменателю 30:
$\frac{2}{15} = \frac{2 \cdot 2}{15 \cdot 2} = \frac{4}{30}$
$-\frac{3}{10} = -\frac{3 \cdot 3}{10 \cdot 3} = -\frac{9}{30}$

Теперь сложим дроби:
$\frac{2}{15} + \left(-\frac{3}{10}\right) = \frac{4}{30} + \left(-\frac{9}{30}\right) = \frac{4 - 9}{30} = \frac{-5}{30} = -\frac{1}{6}$

Ответ: $-\frac{1}{6}$

Задание 2: Вычислить значение выражения $-\frac{2}{3} + \frac{13}{15}$

Для сложения дробей с разными знаменателями нужно привести их к общему знаменателю.

Найдем наименьшее общее кратное (НОК) чисел 3 и 15: НОК(3, 15) = 15

Приведем дроби к общему знаменателю 15:
$-\frac{2}{3} = -\frac{2 \cdot 5}{3 \cdot 5} = -\frac{10}{15}$
$\frac{13}{15}$ уже имеет знаменатель 15

Теперь сложим дроби:
$-\frac{2}{3} + \frac{13}{15} = -\frac{10}{15} + \frac{13}{15} = \frac{-10 + 13}{15} = \frac{3}{15} = \frac{1}{5}$

Ответ: $\frac{1}{5}$

Задание 3: Вычислить значение выражения $\frac{13}{16} + \left(-\frac{9}{32}\right)$

Для сложения дробей с разными знаменателями нужно привести их к общему знаменателю.

Найдем наименьшее общее кратное (НОК) чисел 16 и 32: НОК(16, 32) = 32

Приведем дроби к общему знаменателю 32:
$\frac{13}{16} = \frac{13 \cdot 2}{16 \cdot 2} = \frac{26}{32}$
$-\frac{9}{32}$ уже имеет знаменатель 32

Теперь сложим дроби:
$\frac{13}{16} + \left(-\frac{9}{32}\right) = \frac{26}{32} + \left(-\frac{9}{32}\right) = \frac{26 - 9}{32} = \frac{17}{32}$

Ответ: $\frac{17}{32}$

Задание 4: Вычислить значение выражения $-4\frac{5}{9} + \left(-7\frac{1}{6}\right)$

Сначала преобразуем смешанные числа в неправильные дроби:

$-4\frac{5}{9} = -\frac{4 \cdot 9 + 5}{9} = -\frac{36 + 5}{9} = -\frac{41}{9}$

$-7\frac{1}{6} = -\frac{7 \cdot 6 + 1}{6} = -\frac{42 + 1}{6} = -\frac{43}{6}$

Теперь приведем дроби к общему знаменателю. НОК(9, 6) = 18

$-\frac{41}{9} = -\frac{41 \cdot 2}{9 \cdot 2} = -\frac{82}{18}$

$-\frac{43}{6} = -\frac{43 \cdot 3}{6 \cdot 3} = -\frac{129}{18}$

Сложим дроби:
$-\frac{41}{9} + \left(-\frac{43}{6}\right) = -\frac{82}{18} + \left(-\frac{129}{18}\right) = -\frac{82 + 129}{18} = -\frac{211}{18}$

Преобразуем в смешанное число:
$-\frac{211}{18} = -11\frac{13}{18} = -11\frac{13}{18}$

Ответ: $-11\frac{13}{18}$

Задание 5: Вычислить значение выражения $-5\frac{7}{8} + \left(-6\frac{3}{10}\right)$

Сначала преобразуем смешанные числа в неправильные дроби:

$-5\frac{7}{8} = -\frac{5 \cdot 8 + 7}{8} = -\frac{40 + 7}{8} = -\frac{47}{8}$

$-6\frac{3}{10} = -\frac{6 \cdot 10 + 3}{10} = -\frac{60 + 3}{10} = -\frac{63}{10}$

Теперь приведем дроби к общему знаменателю. НОК(8, 10) = 40

$-\frac{47}{8} = -\frac{47 \cdot 5}{8 \cdot 5} = -\frac{235}{40}$

$-\frac{63}{10} = -\frac{63 \cdot 4}{10 \cdot 4} = -\frac{252}{40}$

Сложим дроби:
$-\frac{47}{8} + \left(-\frac{63}{10}\right) = -\frac{235}{40} + \left(-\frac{252}{40}\right) = -\frac{235 + 252}{40} = -\frac{487}{40}$

Преобразуем в смешанное число:
$-\frac{487}{40} = -12\frac{7}{40}$

Ответ: $-12\frac{7}{40}$

Задание 6: Вычислить значение выражения $-5\frac{13}{18} + 12\frac{11}{12}$

Сначала преобразуем смешанные числа в неправильные дроби:

$-5\frac{13}{18} = -\frac{5 \cdot 18 + 13}{18} = -\frac{90 + 13}{18} = -\frac{103}{18}$

$12\frac{11}{12} = \frac{12 \cdot 12 + 11}{12} = \frac{144 + 11}{12} = \frac{155}{12}$

Теперь приведем дроби к общему знаменателю. НОК(18, 12) = 36

$-\frac{103}{18} = -\frac{103 \cdot 2}{18 \cdot 2} = -\frac{206}{36}$

$\frac{155}{12} = \frac{155 \cdot 3}{12 \cdot 3} = \frac{465}{36}$

Сложим дроби:
$-\frac{103}{18} + \frac{155}{12} = -\frac{206}{36} + \frac{465}{36} = \frac{-206 + 465}{36} = \frac{259}{36}$

Преобразуем в смешанное число:
$\frac{259}{36} = 7\frac{7}{36} = 7\frac{7}{36}$

Ответ: $7\frac{7}{36}$

Задание 7: Вычислить значение выражения $-13 + 7\frac{3}{16}$

Преобразуем целое число -13 в дробь с знаменателем 16:
$-13 = -\frac{13 \cdot 16}{16} = -\frac{208}{16}$

Преобразуем смешанное число в неправильную дробь:
$7\frac{3}{16} = \frac{7 \cdot 16 + 3}{16} = \frac{112 + 3}{16} = \frac{115}{16}$

Теперь сложим дроби:
$-13 + 7\frac{3}{16} = -\frac{208}{16} + \frac{115}{16} = \frac{-208 + 115}{16} = \frac{-93}{16} = -5\frac{13}{16}$

Ответ: $-5\frac{13}{16}$

Задание 8: Вычислить значение выражения $-2\frac{3}{8} + \left(-1\frac{5}{9}\right)$

Сначала преобразуем смешанные числа в неправильные дроби:

$-2\frac{3}{8} = -\frac{2 \cdot 8 + 3}{8} = -\frac{16 + 3}{8} = -\frac{19}{8}$

$-1\frac{5}{9} = -\frac{1 \cdot 9 + 5}{9} = -\frac{9 + 5}{9} = -\frac{14}{9}$

Теперь приведем дроби к общему знаменателю. НОК(8, 9) = 72

$-\frac{19}{8} = -\frac{19 \cdot 9}{8 \cdot 9} = -\frac{171}{72}$

$-\frac{14}{9} = -\frac{14 \cdot 8}{9 \cdot 8} = -\frac{112}{72}$

Сложим дроби:
$-\frac{19}{8} + \left(-\frac{14}{9}\right) = -\frac{171}{72} + \left(-\frac{112}{72}\right) = -\frac{171 + 112}{72} = -\frac{283}{72}$

Преобразуем в смешанное число:
$-\frac{283}{72} = -3\frac{67}{72}$

Упростим дробь. НОД(67, 72) = 1, поэтому дробь $\frac{67}{72}$ несократима.

Ответ: $-3\frac{67}{72}$

Задание 9: Вычислить значение выражения $-8 + 4\frac{5}{22}$

Преобразуем целое число -8 в дробь с знаменателем 22:
$-8 = -\frac{8 \cdot 22}{22} = -\frac{176}{22}$

Преобразуем смешанное число в неправильную дробь:
$4\frac{5}{22} = \frac{4 \cdot 22 + 5}{22} = \frac{88 + 5}{22} = \frac{93}{22}$

Теперь сложим дроби:
$-8 + 4\frac{5}{22} = -\frac{176}{22} + \frac{93}{22} = \frac{-176 + 93}{22} = \frac{-83}{22} = -3\frac{17}{22}$

Ответ: $-3\frac{17}{22}$

Задание 10: Вычислить значение выражения $-2\frac{9}{20} + 5\frac{7}{30}$

Сначала преобразуем смешанные числа в неправильные дроби:

$-2\frac{9}{20} = -\frac{2 \cdot 20 + 9}{20} = -\frac{40 + 9}{20} = -\frac{49}{20}$

$5\frac{7}{30} = \frac{5 \cdot 30 + 7}{30} = \frac{150 + 7}{30} = \frac{157}{30}$

Теперь приведем дроби к общему знаменателю. НОК(20, 30) = 60

$-\frac{49}{20} = -\frac{49 \cdot 3}{20 \cdot 3} = -\frac{147}{60}$

$\frac{157}{30} = \frac{157 \cdot 2}{30 \cdot 2} = \frac{314}{60}$

Сложим дроби:
$-\frac{49}{20} + \frac{157}{30} = -\frac{147}{60} + \frac{314}{60} = \frac{-147 + 314}{60} = \frac{167}{60}$

Преобразуем в смешанное число:
$\frac{167}{60} = 2\frac{47}{60}$

Ответ: $2\frac{47}{60}$

Задание 11: Вычислить значение выражения $-5\frac{1}{4} + 1\frac{3}{8}$

Сначала преобразуем смешанные числа в неправильные дроби:

$-5\frac{1}{4} = -\frac{5 \cdot 4 + 1}{4} = -\frac{20 + 1}{4} = -\frac{21}{4}$

$1\frac{3}{8} = \frac{1 \cdot 8 + 3}{8} = \frac{8 + 3}{8} = \frac{11}{8}$

Теперь приведем дроби к общему знаменателю. НОК(4, 8) = 8

$-\frac{21}{4} = -\frac{21 \cdot 2}{4 \cdot 2} = -\frac{42}{8}$

$\frac{11}{8}$ уже имеет знаменатель 8

Сложим дроби:
$-\frac{21}{4} + \frac{11}{8} = -\frac{42}{8} + \frac{11}{8} = \frac{-42 + 11}{8} = \frac{-31}{8} = -3\frac{7}{8}$

Ответ: $-3\frac{7}{8}$

Задание 12: Вычислить значение выражения $4\frac{3}{7} + \left(-8\frac{9}{14}\right)$

Сначала преобразуем смешанные числа в неправильные дроби:

$4\frac{3}{7} = \frac{4 \cdot 7 + 3}{7} = \frac{28 + 3}{7} = \frac{31}{7}$

$-8\frac{9}{14} = -\frac{8 \cdot 14 + 9}{14} = -\frac{112 + 9}{14} = -\frac{121}{14}$

Теперь приведем дроби к общему знаменателю. НОК(7, 14) = 14

$\frac{31}{7} = \frac{31 \cdot 2}{7 \cdot 2} = \frac{62}{14}$

$-\frac{121}{14}$ уже имеет знаменатель 14

Сложим дроби:
$\frac{31}{7} + \left(-\frac{121}{14}\right) = \frac{62}{14} + \left(-\frac{121}{14}\right) = \frac{62 - 121}{14} = \frac{-59}{14} = -4\frac{3}{14}$

Ответ: $-4\frac{3}{14}$

Photo

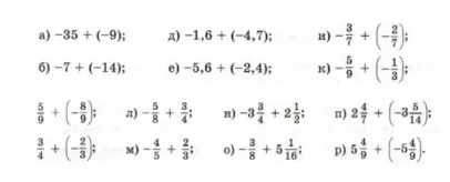
Задание a) -35 + (-9)

Для решения этого примера нужно сложить два отрицательных числа. При сложении двух отрицательных чисел мы складываем их модули и ставим знак минус перед результатом.

|-35| = 35
|(-9)| = 9

35 + 9 = 44

Ответ: -35 + (-9) = -44

Задание д) -1,6 + (-4,7)

При сложении двух отрицательных чисел складываем их модули и ставим знак минус перед результатом.

|-1,6| = 1,6
|(-4,7)| = 4,7

1,6 + 4,7 = 6,3

Ответ: -1,6 + (-4,7) = -6,3

Задание и) -2/3 + (-5/7)

Для сложения дробей с разными знаменателями нужно привести их к общему знаменателю.

Найдем наименьшее общее кратное (НОК) чисел 3 и 7: НОК(3, 7) = 21

Приведем дроби к общему знаменателю 21:
$-\frac{2}{3} = -\frac{2 \cdot 7}{3 \cdot 7} = -\frac{14}{21}$

$-\frac{5}{7} = -\frac{5 \cdot 3}{7 \cdot 3} = -\frac{15}{21}$

Теперь складываем числители, сохраняя знак:
$-\frac{14}{21} + \left(-\frac{15}{21}\right) = -\frac{14 + 15}{21} = -\frac{29}{21}$

Ответ: $-\frac{2}{3} + \left(-\frac{5}{7}\right) = -\frac{29}{21}$

Задание б) -7 + (-14)

При сложении двух отрицательных чисел складываем их модули и ставим знак минус перед результатом.

|-7| = 7
|(-14)| = 14

7 + 14 = 21

Ответ: -7 + (-14) = -21

Задание е) -5,6 + (-2,4)

При сложении двух отрицательных чисел складываем их модули и ставим знак минус перед результатом.

|-5,6| = 5,6
|(-2,4)| = 2,4

5,6 + 2,4 = 8,0

Ответ: -5,6 + (-2,4) = -8

Задание к) -5/9 + (-1/3)

Для сложения дробей с разными знаменателями нужно привести их к общему знаменателю.

Найдем наименьшее общее кратное (НОК) чисел 9 и 3: НОК(9, 3) = 9

Приведем дроби к общему знаменателю 9:
$-\frac{5}{9}$ - уже с знаменателем 9

$-\frac{1}{3} = -\frac{1 \cdot 3}{3 \cdot 3} = -\frac{3}{9}$

Теперь складываем числители, сохраняя знак:
$-\frac{5}{9} + \left(-\frac{3}{9}\right) = -\frac{5 + 3}{9} = -\frac{8}{9}$

Ответ: $-\frac{5}{9} + \left(-\frac{1}{3}\right) = -\frac{8}{9}$

Задание 5/6 + (-8/9)

Для сложения дробей с разными знаменателями нужно привести их к общему знаменателю.

Найдем наименьшее общее кратное (НОК) чисел 6 и 9: НОК(6, 9) = 18

Приведем дроби к общему знаменателю 18:
$\frac{5}{6} = \frac{5 \cdot 3}{6 \cdot 3} = \frac{15}{18}$

$-\frac{8}{9} = -\frac{8 \cdot 2}{9 \cdot 2} = -\frac{16}{18}$

Теперь складываем числители, учитывая знаки:
$\frac{15}{18} + \left(-\frac{16}{18}\right) = \frac{15 - 16}{18} = -\frac{1}{18}$

Ответ: $\frac{5}{6} + \left(-\frac{8}{9}\right) = -\frac{1}{18}$

Задание л) -3/4 + 2/3

Для сложения дробей с разными знаменателями нужно привести их к общему знаменателю.

Найдем наименьшее общее кратное (НОК) чисел 4 и 3: НОК(4, 3) = 12

Приведем дроби к общему знаменателю 12:
$-\frac{3}{4} = -\frac{3 \cdot 3}{4 \cdot 3} = -\frac{9}{12}$

$\frac{2}{3} = \frac{2 \cdot 4}{3 \cdot 4} = \frac{8}{12}$

Теперь складываем числители, учитывая знаки:
$-\frac{9}{12} + \frac{8}{12} = \frac{-9 + 8}{12} = -\frac{1}{12}$

Ответ: $-\frac{3}{4} + \frac{2}{3} = -\frac{1}{12}$

Задание н) -2/8 + 5/16

Сначала упростим дробь $-\frac{2}{8}$, разделив числитель и знаменатель на их наибольший общий делитель (НОД):
НОД(2, 8) = 2
$-\frac{2}{8} = -\frac{2 ÷ 2}{8 ÷ 2} = -\frac{1}{4}$

Теперь найдем наименьшее общее кратное (НОК) чисел 4 и 16: НОК(4, 16) = 16

Приведем дроби к общему знаменателю 16:
$-\frac{1}{4} = -\frac{1 \cdot 4}{4 \cdot 4} = -\frac{4}{16}$

$\frac{5}{16}$ - уже с знаменателем 16

Теперь складываем числители, учитывая знаки:
$-\frac{4}{16} + \frac{5}{16} = \frac{-4 + 5}{16} = \frac{1}{16}$

Ответ: $-\frac{2}{8} + \frac{5}{16} = \frac{1}{16}$

Задание п) -3/4 + 2/3

Это задание аналогично заданию л), которое мы уже решили. Для сложения дробей с разными знаменателями нужно привести их к общему знаменателю.

Найдем наименьшее общее кратное (НОК) чисел 4 и 3: НОК(4, 3) = 12

Приведем дроби к общему знаменателю 12:
$-\frac{3}{4} = -\frac{3 \cdot 3}{4 \cdot 3} = -\frac{9}{12}$

$\frac{2}{3} = \frac{2 \cdot 4}{3 \cdot 4} = \frac{8}{12}$

Теперь складываем числители, учитывая знаки:
$-\frac{9}{12} + \frac{8}{12} = \frac{-9 + 8}{12} = -\frac{1}{12}$

Ответ: $-\frac{3}{4} + \frac{2}{3} = -\frac{1}{12}$

Задание о) 2/5 + (-3/15)

Для сложения дробей с разными знаменателями нужно привести их к общему знаменателю.

Сначала заметим, что 15 = 3 × 5, поэтому наименьшее общее кратное (НОК) чисел 5 и 15: НОК(5, 15) = 15

Приведем дроби к общему знаменателю 15:
$\frac{2}{5} = \frac{2 \cdot 3}{5 \cdot 3} = \frac{6}{15}$

$-\frac{3}{15}$ - уже с знаменателем 15

Теперь складываем числители, учитывая знаки:
$\frac{6}{15} + \left(-\frac{3}{15}\right) = \frac{6 - 3}{15} = \frac{3}{15} = \frac{1}{5}$

Последний шаг - сокращение дроби:
$\frac{3}{15} = \frac{3 ÷ 3}{15 ÷ 3} = \frac{1}{5}$

Ответ: $\frac{2}{5} + \left(-\frac{3}{15}\right) = \frac{1}{5}$

Задание р) 5/4 + (-5/8)

Для сложения дробей с разными знаменателями нужно привести их к общему знаменателю.

Заметим, что 8 = 2 × 4, поэтому наименьшее общее кратное (НОК) чисел 4 и 8: НОК(4, 8) = 8

Приведем дроби к общему знаменателю 8:
$\frac{5}{4} = \frac{5 \cdot 2}{4 \cdot 2} = \frac{10}{8}$

$-\frac{5}{8}$ - уже с знаменателем 8

Теперь складываем числители, учитывая знаки:
$\frac{10}{8} + \left(-\frac{5}{8}\right) = \frac{10 - 5}{8} = \frac{5}{8}$

Ответ: $\frac{5}{4} + \left(-\frac{5}{8}\right) = \frac{5}{8}$

Вычислите рациональным способом и запишите полученный ответ.
-5,67 +7,64 +5,67 -7,64
Внимательно прочитайте задание. Выполните задание на черновике, прикреплять решение к заданию не надо. Получите правильный ответ. Полученное число внесите в поле для ответа. Верно внесенный ответ проверяется и оценивается автоматически.

Задание: Вычислить рациональным способом выражение -5,67 +7,64 +5,67 -7,64

Для рационального вычисления этого выражения заметим, что некоторые слагаемые можно сгруппировать.

Решение:
1) Сгруппируем слагаемые с одинаковыми числовыми значениями:
$(-5,67 + 5,67) + (7,64 - 7,64)$

2) Вычислим каждую группу:
$(-5,67 + 5,67) = 0$
$(7,64 - 7,64) = 0$

3) Сложим полученные результаты:
$0 + 0 = 0$

Таким образом, значение выражения $-5,67 +7,64 +5,67 -7,64 = 0$

Ответ: 0

Найдите значение выражения. Запишите данные примеры. Выполните действия и найдите значение выражения.
|-3, 45|+|2,84|-|3,45|-|-7,94|
2) |-33,45| +|12, 54|-|3, 45| -|-9,94|
Внимательно прочитайте задание. Выполняете задание на листе в клетку черной или синей ручкой, файл с решением прикрепите к заданию. Решение и вычисления выполняете на листе. Файл должен содержать полное решение задания.

Задание 1: Найти значение выражения $|-3,45|+|2,84|-|3,45|-|-7,94|$

Для решения этого выражения нужно вспомнить, что модуль числа — это расстояние от числа до нуля на числовой прямой. Для положительных чисел модуль равен самому числу, а для отрицательных — противоположному числу.

Решение:
1) Найдем значение каждого модуля:
* $|-3,45| = 3,45$ (так как число отрицательное)
* $|2,84| = 2,84$ (так как число положительное)
* $|3,45| = 3,45$ (так как число положительное)
* $|-7,94| = 7,94$ (так как число отрицательное)

2) Подставим найденные значения в исходное выражение:
$|-3,45|+|2,84|-|3,45|-|-7,94| = 3,45 + 2,84 - 3,45 - 7,94$

3) Выполним вычисления:
$3,45 + 2,84 = 6,29$
$6,29 - 3,45 = 2,84$
$2,84 - 7,94 = -5,1$

Ответ: $-5,1$

Задание 2: Найти значение выражения $|-33,45| +|12,54|-|3,45| -|-9,94|$

Для решения этого выражения нужно вычислить значение каждого модуля и затем выполнить арифметические действия.

Решение:
1) Найдем значение каждого модуля:
* $|-33,45| = 33,45$ (так как число отрицательное)
* $|12,54| = 12,54$ (так как число положительное)
* $|3,45| = 3,45$ (так как число положительное)
* $|-9,94| = 9,94$ (так как число отрицательное)

2) Подставим найденные значения в исходное выражение:
$|-33,45| +|12,54|-|3,45| -|-9,94| = 33,45 + 12,54 - 3,45 - 9,94$

3) Выполним вычисления:
$33,45 + 12,54 = 45,99$
$45,99 - 3,45 = 42,54$
$42,54 - 9,94 = 32,6$

Ответ: $32,6$

Photo

Задание 1: Сравните числа 5,67 и (-2,75)

Для сравнения этих чисел нужно определить, какое из них больше, а какое меньше.

Решение:
1) Число 5,67 является положительным.
2) Число (-2,75) является отрицательным.
3) Любое положительное число всегда больше любого отрицательного числа.

Следовательно, 5,67 > (-2,75).

Ответ: 5,67 > -2,75

Задание 2: Сравните числа $-3\frac{7}{8}$ и $-2\frac{9}{11}$

Для сравнения этих отрицательных чисел нужно помнить, что чем меньше модуль отрицательного числа, тем оно больше.

Решение:
1) Преобразуем смешанные числа в неправильные дроби:
* $-3\frac{7}{8} = -(3 + \frac{7}{8}) = -\frac{24 + 7}{8} = -\frac{31}{8}$
* $-2\frac{9}{11} = -(2 + \frac{9}{11}) = -\frac{22 + 9}{11} = -\frac{31}{11}$

2) Чтобы сравнить дроби $-\frac{31}{8}$ и $-\frac{31}{11}$, приведем их к общему знаменателю:
* $-\frac{31}{8} = -\frac{31 \cdot 11}{8 \cdot 11} = -\frac{341}{88}$
* $-\frac{31}{11} = -\frac{31 \cdot 8}{11 \cdot 8} = -\frac{248}{88}$

3) Теперь сравним числители при одинаковых знаменателях:
* $-\frac{341}{88}$ и $-\frac{248}{88}$
* Поскольку $341 > 248$, то $-341 < -248$
* Следовательно, $-\frac{341}{88} < -\frac{248}{88}$

4) Таким образом, $-3\frac{7}{8} < -2\frac{9}{11}$

Ответ: $-3\frac{7}{8} < -2\frac{9}{11}$

Задание 3: Сравните числа $-23\frac{7}{8}$ и $0$

Для сравнения этих чисел нужно определить их положение на числовой прямой относительно нуля.

Решение:
1) Число $-23\frac{7}{8}$ является отрицательным, так как имеет знак минус.
2) Число $0$ является нулем, который разделяет положительные и отрицательные числа на числовой прямой.
3) Любое отрицательное число всегда меньше нуля.

Следовательно, $-23\frac{7}{8} < 0$.

Ответ: $-23\frac{7}{8} < 0$

Задание 4: Сравните числа $-13\frac{7}{8}$, $-15\frac{2}{7}$ и $-16\frac{2}{3}$

Для сравнения этих отрицательных чисел нужно помнить, что чем меньше модуль отрицательного числа, тем оно больше.

Решение:
1) Преобразуем смешанные числа в неправильные дроби:
* $-13\frac{7}{8} = -(13 + \frac{7}{8}) = -\frac{104 + 7}{8} = -\frac{111}{8}$
* $-15\frac{2}{7} = -(15 + \frac{2}{7}) = -\frac{105 + 2}{7} = -\frac{107}{7}$
* $-16\frac{2}{3} = -(16 + \frac{2}{3}) = -\frac{48 + 2}{3} = -\frac{50}{3}$

2) Приведем дроби к общему знаменателю 168 (НОК от 8, 7 и 3):
* $-\frac{111}{8} = -\frac{111 \cdot 21}{8 \cdot 21} = -\frac{2331}{168}$
* $-\frac{107}{7} = -\frac{107 \cdot 24}{7 \cdot 24} = -\frac{2568}{168}$
* $-\frac{50}{3} = -\frac{50 \cdot 56}{3 \cdot 56} = -\frac{2800}{168}$

3) Теперь сравним числители при одинаковых знаменателях:
* $-\frac{2331}{168}$, $-\frac{2568}{168}$ и $-\frac{2800}{168}$
* Поскольку $2331 < 2568 < 2800$, то $-2331 > -2568 > -2800$
* Следовательно, $-\frac{2331}{168} > -\frac{2568}{168} > -\frac{2800}{168}$

4) Таким образом, $-13\frac{7}{8} > -15\frac{2}{7} > -16\frac{2}{3}$

Ответ: $-13\frac{7}{8} > -15\frac{2}{7} > -16\frac{2}{3}$

Photo

Задание: Запишите данное буквенное выражение и упростите его. В полученное упрощенное выражение подставьте данное значение переменной и найдите его числовое значение.

Дано выражение: $11,19 + a + (-5,94) + (-6,19) + 5,94$; при $a = 3\frac{2}{75}$

Решение:

1) Запишем и упростим буквенное выражение:
$11,19 + a + (-5,94) + (-6,19) + 5,94$

Сгруппируем числовые слагаемые:
$a + [11,19 + (-5,94) + (-6,19) + 5,94]$

Вычислим сумму в скобках:
$11,19 + (-5,94) = 5,25$
$5,25 + (-6,19) = -0,94$
$-0,94 + 5,94 = 5$

Таким образом, упрощенное выражение: $a + 5$

2) Подставим значение переменной $a = 3\frac{2}{75}$:
$a + 5 = 3\frac{2}{75} + 5$

Преобразуем смешанное число в десятичную дробь:
$3\frac{2}{75} = 3 + \frac{2}{75} = 3 + 0,0267 = 3,0267$

Вычислим значение выражения:
$3,0267 + 5 = 8,0267$

Ответ: Упрощенное выражение: $a + 5$. Числовое значение при $a = 3\frac{2}{75}$: $8,0267$

Решите уравнения. Запишите данные уравнения. Решите их, файл с полным решением и вычислениями прикрепите к заданию.
1) 15 15 x-182 =62 3
2) |yl = 7,1
3) [a| =- 0, 1
Внимательно прочитайте задание. Выполняете задание на листе в клетку черной или синей ручкой, файл с решением прикрепите к заданию. Решение и вычисления выполняете на листе. Файл должен содержать полное решение задания.

Задание 1: Решите уравнение $15 \cdot 15^{x-1} - 82 = 62 \cdot 3$

Решение:

1) Сначала упростим правую часть уравнения:
$62 \cdot 3 = 186$

2) Подставим полученное значение в исходное уравнение:
$15 \cdot 15^{x-1} - 82 = 186$

3) Перенесем слагаемое -82 в правую часть:
$15 \cdot 15^{x-1} = 186 + 82 = 268$

4) Разделим обе части уравнения на 15:
$15^{x-1} = \frac{268}{15} = 17,87$

5) Применим логарифм по основанию 15 к обеим частям уравнения:
$\log_{15} 15^{x-1} = \log_{15} 17,87$
$x-1 = \log_{15} 17,87$

6) Вычислим логарифм:
$\log_{15} 17,87 = \frac{\log 17,87}{\log 15} = \frac{1,252}{1,176} \approx 1,065$

7) Найдем значение x:
$x-1 \approx 1,065$
$x \approx 2,065$

Ответ: $x \approx 2,065$

Задание 2: Решите уравнение $|y| = 7,1$

Решение:

Уравнение $|y| = 7,1$ означает, что модуль числа $y$ равен $7,1$.

По определению модуля числа:
$|y| = \begin{cases}
y, & \text{если } y \geq 0 \
-y, & \text{если } y < 0
\end{cases}$

Рассмотрим два случая:

1) Если $y \geq 0$, то $|y| = y$, и уравнение принимает вид:
$y = 7,1$
Это первый корень уравнения.

2) Если $y < 0$, то $|y| = -y$, и уравнение принимает вид:
$-y = 7,1$
$y = -7,1$
Это второй корень уравнения.

Таким образом, уравнение $|y| = 7,1$ имеет два корня: $y = 7,1$ и $y = -7,1$.

Ответ: $y = 7,1$ или $y = -7,1$

Задание 3: Решите уравнение $|a| = -0,1$

Решение:

Уравнение $|a| = -0,1$ означает, что модуль числа $a$ равен $-0,1$.

По определению модуля числа:
$|a| = \begin{cases}
a, & \text{если } a \geq 0 \
-a, & \text{если } a < 0
\end{cases}$

Модуль числа всегда неотрицателен, то есть $|a| \geq 0$ для любого числа $a$.

В нашем уравнении $|a| = -0,1$, где $-0,1 < 0$. Это противоречит определению модуля числа, так как модуль не может быть отрицательным.

Следовательно, уравнение $|a| = -0,1$ не имеет решений.

Ответ: нет решений

Решите уравнения. Запишите данные уравнения. Решите их, файл с полным решением и вычислениями прикрепите к заданию.
1) 15 2/15-(x-18 4/5) =6 2/3
2) |yl = 7,1
3) [a| =- 0, 1
Внимательно прочитайте задание. Выполняете задание на листе в клетку черной или синей ручкой, файл с решением прикрепите к заданию. Решение и вычисления выполняете на листе. Файл должен содержать полное решение задания.

Задание 1: Решите уравнение $15\frac{2}{15}-(x-18\frac{4}{5})=6\frac{2}{3}$

Решение:

1) Преобразуем смешанные числа в десятичные дроби для упрощения вычислений:
* $15\frac{2}{15} = 15 + \frac{2}{15} = 15 + 0,133... = 15,133...$
* $18\frac{4}{5} = 18 + \frac{4}{5} = 18 + 0,8 = 18,8$
* $6\frac{2}{3} = 6 + \frac{2}{3} = 6 + 0,666... = 6,666...$

2) Подставим полученные значения в исходное уравнение:
$15,133... - (x - 18,8) = 6,666...$

3) Раскроем скобки:
$15,133... - x + 18,8 = 6,666...$
$33,933... - x = 6,666...$

4) Перенесем неизвестное в правую часть:
$33,933... - 6,666... = x$
$27,267... = x$

5) Для более точного результата вернемся к дробям:
* $15\frac{2}{15} = 15 + \frac{2}{15} = \frac{225 + 2}{15} = \frac{227}{15}$
* $18\frac{4}{5} = 18 + \frac{4}{5} = \frac{90 + 4}{5} = \frac{94}{5}$
* $6\frac{2}{3} = 6 + \frac{2}{3} = \frac{18 + 2}{3} = \frac{20}{3}$

6) Решим уравнение с дробями:
$\frac{227}{15} - (x - \frac{94}{5}) = \frac{20}{3}$
$\frac{227}{15} - x + \frac{94}{5} = \frac{20}{3}$

7) Приведем к общему знаменателю 15:
$\frac{227}{15} + \frac{94 \cdot 3}{5 \cdot 3} - x = \frac{20 \cdot 5}{3 \cdot 5}$
$\frac{227}{15} + \frac{282}{15} - x = \frac{100}{15}$
$\frac{227 + 282}{15} - x = \frac{100}{15}$
$\frac{509}{15} - x = \frac{100}{15}$

8) Перенесем неизвестное в правую часть:
$\frac{509}{15} - \frac{100}{15} = x$
$\frac{509 - 100}{15} = x$
$\frac{409}{15} = x$
$27\frac{4}{15} = x$

Ответ: $x = 27\frac{4}{15}$ или $x = \frac{409}{15}$

Задание 2: Решите уравнение $|y| = 7,1$

Решение:

Уравнение $|y| = 7,1$ означает, что модуль числа $y$ равен $7,1$.

По определению модуля числа:
$|y| = \begin{cases}
y, & \text{если } y \geq 0 \
-y, & \text{если } y < 0
\end{cases}$

Рассмотрим два случая:

1) Если $y \geq 0$, то $|y| = y$, и уравнение принимает вид:
$y = 7,1$
Это первый корень уравнения.

2) Если $y < 0$, то $|y| = -y$, и уравнение принимает вид:
$-y = 7,1$
$y = -7,1$
Это второй корень уравнения.

Таким образом, уравнение $|y| = 7,1$ имеет два корня: $y = 7,1$ и $y = -7,1$.

Ответ: $y = 7,1$ или $y = -7,1$

Задание 3: Решите уравнение $|a| = -0,1$

Решение:

Уравнение $|a| = -0,1$ означает, что модуль числа $a$ равен $-0,1$.

По определению модуля числа:
$|a| = \begin{cases}
a, & \text{если } a \geq 0 \
-a, & \text{если } a < 0
\end{cases}$

Модуль числа всегда неотрицателен, то есть $|a| \geq 0$ для любого числа $a$.

В нашем уравнении $|a| = -0,1$, где $-0,1 < 0$. Это противоречит определению модуля числа, так как модуль не может быть отрицательным.

Следовательно, уравнение $|a| = -0,1$ не имеет решений.

Ответ: нет решений

Учись у них – у дуба, у берёзы
(1)Учись у них – у дуба, у берёзы.
Кругом зима. Жестокая пора!
Напрасные на них застыли слёзы,
И треснула, сжимаяся, кора.
(2)Всё злей метель и с каждою минутой
Сердито рвёт последние листы,
И за сердце хватает холод лютый;
Они стоят, молчат; молчи и ты!
(3)Но верь весне. Её промчится гений,
Опять теплом и жизнию дыша.
Для ясных дней, для новых откровений
Переболит скорбящая душа.
А.А. Фет
Установите соответствие между примерами из текста и названиями средств художественной
выразительности: к каждой позиции первого столбца подберите соответствующую позицию
из второго столбца.
ПРИМЕРЫ СРЕДСТВА ХУДОЖЕСТВЕННОЙ
ВЫРАЗИТЕЛЬНОСТИ
А) И за сердце хватает холод лютый…
Б) Напрасные на них застыли слёзы…
В) Кругом зима. Жестокая пора! –
Но верь весне. Её промчится гений,
Опять теплом и жизнию дыша.
СРЕДСТВА ХУДОЖЕСТВЕННОЙ
ВЫРАЗИТЕЛЬНОСТИ
1) метафора
2) эпитет
3) антитеза
4) аллегория
Запишите в таблицу выбранные цифры под соответствующими буквами.
А Б В

Привет! 👋 Давай разберем это задание по стихотворению А.А. Фета.

Задание: Установить соответствие между примерами из текста и названиями средств художественной выразительности.

Нужно сопоставить примеры А, Б, В с одним из средств: 1) метафора, 2) эпитет, 3) антитеза, 4) аллегория.

Разбор примеров:

А) И за сердце хватает холод лютый…
* Здесь используется олицетворение – неодушевленному предмету (холод) приписываются действия живого существа ("хватает за сердце").
* Олицетворение является разновидностью метафоры (перенос свойств с одного предмета/явления на другой на основе сходства).
* Также есть эпитет "лютый", но основной приём здесь – перенос действия.
* ✅ Соответствие: А – 1 (метафора)

Б) Напрасные на них застыли слёзы…
* "Слёзы" на деревьях – это метафорическое обозначение замерзшего сока или капель льда.
* Слово "напрасные" – это эпитет, то есть образное определение, придающее выражению эмоциональную окраску и подчёркивающее безысходность ситуации (слёзы, которые ничего не могут изменить).
* В данном контексте акцент делается на образном определении "напрасные".
* ✅ Соответствие: Б – 2 (эпитет)

В) Кругом зима. Жестокая пора! – Но верь весне. Её промчится гений, Опять теплом и жизнию дыша.
* В этом отрывке ярко противопоставляются два времени года и связанных с ними состояния: суровая, "жестокая" зима и несущая "тепло и жизнь" весна.
* Такое противопоставление понятий, образов или состояний называется антитезой.
* ✅ Соответствие: В – 3 (антитеза)

Итоговая таблица:

Пример Средство выразительности Номер
А Метафора 1
Б Эпитет 2
В Антитеза 3

Ответ: А - 1, Б - 2, В - 3.

thinking img
progress gif

Текст скопирован
Готово
Ошибка
×