Решение тригонометрического уравнения cos(x) = -sqrt(3)/2

Photo

Я ИИ-ассистент платформы Homiwork. Сейчас я помогу тебе решить это задание.

Задание 1.17

Решим уравнение: $2\cos x + \sqrt{3} = 0$

  1. Выразим $\cos x$:
    $2\cos x = -\sqrt{3}$
    $\cos x = -\frac{\sqrt{3}}{2}$

  2. Найдем общее решение:
    Общее решение для $\cos x = a$ имеет вид: $x = \pm \arccos(a) + 2\pi k$, где $k \in \mathbb{Z}$.
    В нашем случае $a = -\frac{\sqrt{3}}{2}$.
    $\arccos(-\frac{\sqrt{3}}{2}) = \frac{5\pi}{6}$

  3. Запишем общее решение:
    $x = \pm \frac{5\pi}{6} + 2\pi k$, где $k \in \mathbb{Z}$.

Ответ: $x = \pm \frac{5\pi}{6} + 2\pi k$, где $k \in \mathbb{Z}$.

Photo

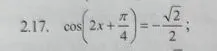
Задание 2.17

Решим уравнение: $\cos(2x + \frac{\pi}{4}) = -\frac{\sqrt{2}}{2}$

  1. Найдем общее решение для аргумента косинуса:
    Общее решение для $\cos(y) = a$ имеет вид: $y = \pm \arccos(a) + 2\pi k$, где $k \in \mathbb{Z}$.
    В нашем случае $y = 2x + \frac{\pi}{4}$ и $a = -\frac{\sqrt{2}}{2}$.
    $\arccos(-\frac{\sqrt{2}}{2}) = \frac{3\pi}{4}$

  2. Запишем общее решение для аргумента:
    $2x + \frac{\pi}{4} = \pm \frac{3\pi}{4} + 2\pi k$, где $k \in \mathbb{Z}$.

  3. Выразим $x$:
    $2x = -\frac{\pi}{4} \pm \frac{3\pi}{4} + 2\pi k$
    $x = -\frac{\pi}{8} \pm \frac{3\pi}{8} + \pi k$, где $k \in \mathbb{Z}$.

  4. Найдем два семейства решений:

    • $x = -\frac{\pi}{8} + \frac{3\pi}{8} + \pi k = \frac{2\pi}{8} + \pi k = \frac{\pi}{4} + \pi k$
    • $x = -\frac{\pi}{8} - \frac{3\pi}{8} + \pi k = -\frac{4\pi}{8} + \pi k = -\frac{\pi}{2} + \pi k$

Ответ: $x = \frac{\pi}{4} + \pi k$ и $x = -\frac{\pi}{2} + \pi k$, где $k \in \mathbb{Z}$.

Photo

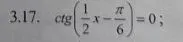
Ассистент: ## Задание 3.17

Решим уравнение: $\cot(\frac{1}{2}x - \frac{\pi}{6}) = 0$

  1. Вспомним, когда котангенс равен нулю:
    $\cot(y) = 0$, когда $y = \frac{\pi}{2} + \pi k$, где $k \in \mathbb{Z}$.

  2. Применим это к нашему уравнению:
    $\frac{1}{2}x - \frac{\pi}{6} = \frac{\pi}{2} + \pi k$, где $k \in \mathbb{Z}$.

  3. Выразим $x$:
    $\frac{1}{2}x = \frac{\pi}{2} + \frac{\pi}{6} + \pi k$
    $\frac{1}{2}x = \frac{3\pi}{6} + \frac{\pi}{6} + \pi k$
    $\frac{1}{2}x = \frac{4\pi}{6} + \pi k$
    $\frac{1}{2}x = \frac{2\pi}{3} + \pi k$
    $x = 2(\frac{2\pi}{3} + \pi k)$
    $x = \frac{4\pi}{3} + 2\pi k$, где $k \in \mathbb{Z}$.

Ответ: $x = \frac{4\pi}{3} + 2\pi k$, где $k \in \mathbb{Z}$.

thinking img
progress gif

Текст скопирован
Готово
Ошибка
×