Проверка функции на непрерывность в точке: теория и примеры

Photo
Реши задачу 3.14 вариантов А Б В
Проверьте заданные функции на непрерывность в указанных точках

Привет! Я ИИ-ассистент от Homiwork. Сейчас помогу разобраться с этими заданиями.

Задание 3.14

Проверить функцию $f(x) = \frac{3x-2}{x-3}$ на непрерывность в точках $x_1 = 3$ и $x_2 = 4$.

Определение непрерывности функции в точке:
Функция $f(x)$ непрерывна в точке $x_0$, если существуют конечные пределы $\lim_{x \to x_0^-} f(x)$ и $\lim_{x \to x_0^+} f(x)$, они равны между собой и равны значению функции в точке $x_0$, то есть $f(x_0)$.

Решение:

  1. Проверка в точке $x_1 = 3$:

    • Найдем предел функции при $x \to 3^-$ (слева):
      $$\lim_{x \to 3^-} \frac{3x-2}{x-3}$$
      При $x \to 3^-$, $x-3$ стремится к $0$ с отрицательной стороны, а $3x-2$ стремится к $3(3)-2 = 7$. Следовательно, предел равен $-\infty$.

    • Найдем предел функции при $x \to 3^+$ (справа):
      $$\lim_{x \to 3^+} \frac{3x-2}{x-3}$$
      При $x \to 3^+$, $x-3$ стремится к $0$ с положительной стороны, а $3x-2$ стремится к $7$. Следовательно, предел равен $+\infty$.

    Так как пределы слева и справа не являются конечными и не равны, функция имеет разрыв в точке $x_1 = 3$.

  2. Проверка в точке $x_2 = 4$:

    • Найдем значение функции в точке $x_2 = 4$:
      $$f(4) = \frac{3(4)-2}{4-3} = \frac{12-2}{1} = 10$$

    • Найдем предел функции при $x \to 4$:
      $$\lim_{x \to 4} \frac{3x-2}{x-3} = \frac{3(4)-2}{4-3} = \frac{10}{1} = 10$$

    Так как предел функции в точке $x_2 = 4$ существует и равен значению функции в этой точке, функция непрерывна в точке $x_2 = 4$.

Ответ:
Функция $f(x) = \frac{3x-2}{x-3}$ разрывна в точке $x_1 = 3$ и непрерывна в точке $x_2 = 4$.

Задание 3.15

Проверить функцию $f(x) = 5^{\frac{1}{x-4}} + 1$ на непрерывность в точках $x_1 = 3$ и $x_2 = 2$.

Решение:

  1. Проверка в точке $x_1 = 3$:

    • Найдем значение функции в точке $x_1 = 3$:
      $$f(3) = 5^{\frac{1}{3-4}} + 1 = 5^{-1} + 1 = \frac{1}{5} + 1 = \frac{6}{5} = 1.2$$

    • Найдем предел функции при $x \to 3$:
      $$\lim_{x \to 3} (5^{\frac{1}{x-4}} + 1) = 5^{\frac{1}{3-4}} + 1 = 5^{-1} + 1 = \frac{1}{5} + 1 = \frac{6}{5} = 1.2$$

    Так как предел функции в точке $x_1 = 3$ существует и равен значению функции в этой точке, функция непрерывна в точке $x_1 = 3$.

  2. Проверка в точке $x_2 = 2$:

    • Найдем значение функции в точке $x_2 = 2$:
      $$f(2) = 5^{\frac{1}{2-4}} + 1 = 5^{-\frac{1}{2}} + 1 = \frac{1}{\sqrt{5}} + 1 \approx 0.447 + 1 = 1.447$$

    • Найдем предел функции при $x \to 2$:
      $$\lim_{x \to 2} (5^{\frac{1}{x-4}} + 1) = 5^{\frac{1}{2-4}} + 1 = 5^{-\frac{1}{2}} + 1 = \frac{1}{\sqrt{5}} + 1 \approx 0.447 + 1 = 1.447$$

    Так как предел функции в точке $x_2 = 2$ существует и равен значению функции в этой точке, функция непрерывна в точке $x_2 = 2$.

Ответ:
Функция $f(x) = 5^{\frac{1}{x-4}} + 1$ непрерывна в точках $x_1 = 3$ и $x_2 = 2$.

Задание 3.16

Проверить функцию $f(x) = 2^{\frac{1}{x-1}} - 1$ на непрерывность в точках $x_1 = 0$ и $x_2 = 1$.

Решение:

  1. Проверка в точке $x_1 = 0$:

    • Найдем значение функции в точке $x_1 = 0$:
      $$f(0) = 2^{\frac{1}{0-1}} - 1 = 2^{-1} - 1 = \frac{1}{2} - 1 = -\frac{1}{2} = -0.5$$

    • Найдем предел функции при $x \to 0$:
      $$\lim_{x \to 0} (2^{\frac{1}{x-1}} - 1) = 2^{\frac{1}{0-1}} - 1 = 2^{-1} - 1 = \frac{1}{2} - 1 = -\frac{1}{2} = -0.5$$

    Так как предел функции в точке $x_1 = 0$ существует и равен значению функции в этой точке, функция непрерывна в точке $x_1 = 0$.

  2. Проверка в точке $x_2 = 1$:

    • Найдем предел функции при $x \to 1^-$ (слева):
      $$\lim_{x \to 1^-} (2^{\frac{1}{x-1}} - 1)$$
      При $x \to 1^-$, $x-1$ стремится к $0$ с отрицательной стороны, то есть $\frac{1}{x-1}$ стремится к $-\infty$. Следовательно, $2^{\frac{1}{x-1}}$ стремится к $0$, и предел равен $0 - 1 = -1$.

    • Найдем предел функции при $x \to 1^+$ (справа):
      $$\lim_{x \to 1^+} (2^{\frac{1}{x-1}} - 1)$$
      При $x \to 1^+$, $x-1$ стремится к $0$ с положительной стороны, то есть $\frac{1}{x-1}$ стремится к $+\infty$. Следовательно, $2^{\frac{1}{x-1}}$ стремится к $+\infty$, и предел равен $+\infty$.

    Так как пределы слева и справа не равны (и предел справа бесконечен), функция имеет разрыв в точке $x_2 = 1$.

Ответ:
Функция $f(x) = 2^{\frac{1}{x-1}} - 1$ непрерывна в точке $x_1 = 0$ и разрывна в точке $x_2 = 1$.

Объясни теоретические основы и правила, которые использовались в этой задаче, приведи определения и формулы

Основы теории непрерывности функций и правила, которые использовались в задачах 3.14, 3.15 и 3.16.

1. Определение непрерывности функции в точке

Функция $f(x)$ называется непрерывной в точке $x_0$, если выполняются следующие три условия:

  1. Функция $f(x)$ определена в точке $x_0$, то есть существует $f(x_0)$.
  2. Существует предел функции $f(x)$ при $x$, стремящемся к $x_0$, то есть существует $\lim_{x \to x_0} f(x)$.
  3. Этот предел равен значению функции в точке $x_0$:
    $$\lim_{x \to x_0} f(x) = f(x_0)$$

2. Односторонние пределы

Для более точного анализа непрерывности функции в точке полезно рассматривать односторонние пределы:

  • Предел слева: $\lim_{x \to x_0^-} f(x)$ — это предел функции $f(x)$ при $x$, стремящемся к $x_0$ слева (то есть $x < x_0$).
  • Предел справа: $\lim_{x \to x_0^+} f(x)$ — это предел функции $f(x)$ при $x$, стремящемся к $x_0$ справа (то есть $x > x_0$).

Для существования предела функции в точке $x_0$ необходимо и достаточно, чтобы существовали оба односторонних предела и были равны между собой:
$$\lim_{x \to x_0^-} f(x) = \lim_{x \to x_0^+} f(x) = \lim_{x \to x_0} f(x)$$

3. Точки разрыва

Если хотя бы одно из условий непрерывности не выполняется, то точка $x_0$ называется точкой разрыва функции $f(x)$. Разрывы бывают разных типов:

  • Устранимый разрыв: Существует предел функции в точке, но он не равен значению функции в этой точке, либо функция в точке не определена.
  • Разрыв первого рода (скачок): Существуют конечные односторонние пределы, но они не равны между собой.
  • Разрыв второго рода: Хотя бы один из односторонних пределов не существует или равен бесконечности.

4. Правила вычисления пределов

При вычислении пределов использовались следующие правила:

  • Предел суммы (разности) равен сумме (разности) пределов:
    $$\lim_{x \to x_0} [f(x) \pm g(x)] = \lim_{x \to x_0} f(x) \pm \lim_{x \to x_0} g(x)$$
  • Предел произведения равен произведению пределов:
    $$\lim_{x \to x_0} [f(x) \cdot g(x)] = \lim_{x \to x_0} f(x) \cdot \lim_{x \to x_0} g(x)$$
  • Предел частного равен частному пределов (если предел знаменателя не равен нулю):
    $$\lim_{x \to x_0} \frac{f(x)}{g(x)} = \frac{\lim_{x \to x_0} f(x)}{\lim_{x \to x_0} g(x)}, \quad \text{если} \quad \lim_{x \to x_0} g(x) \neq 0$$
  • Предел сложной функции: Если $g(x)$ непрерывна в точке $x_0$, а $f(y)$ непрерывна в точке $y_0 = g(x_0)$, то
    $$\lim_{x \to x_0} f(g(x)) = f(\lim_{x \to x_0} g(x)) = f(g(x_0))$$

5. Примеры

  • В задаче 3.14 функция $f(x) = \frac{3x-2}{x-3}$ имеет разрыв в точке $x_1 = 3$, так как знаменатель обращается в нуль, и односторонние пределы стремятся к бесконечности. В точке $x_2 = 4$ функция непрерывна, так как предел равен значению функции.
  • В задачах 3.15 и 3.16 использовались свойства показательной функции и вычисление пределов вида $a^{\frac{1}{x-c}}$ при $x \to c$. Важно учитывать, что при $x \to c^-$ и $x \to c^+$ поведение функции может быть различным, что влияет на существование предела.
Сможешь нарисовать график если есть

Ассистент: К сожалению, я не могу рисовать графики. Но я могу описать поведение функций и их особенности, чтобы вы могли построить графики самостоятельно или с помощью других инструментов.

Например, для функции $f(x) = \frac{3x-2}{x-3}$ (задание 3.14):

  • Есть вертикальная асимптота в точке $x = 3$, так как функция стремится к бесконечности при приближении к этой точке.
  • Есть горизонтальная асимптота $y = 3$, так как при $x \to \pm\infty$ функция стремится к этому значению.
  • Функция пересекает ось $y$ в точке $(0, \frac{2}{3})$.
  • Функция пересекает ось $x$ в точке $(\frac{2}{3}, 0)$.

Имея эту информацию, вы можете построить график этой функции.

Photo
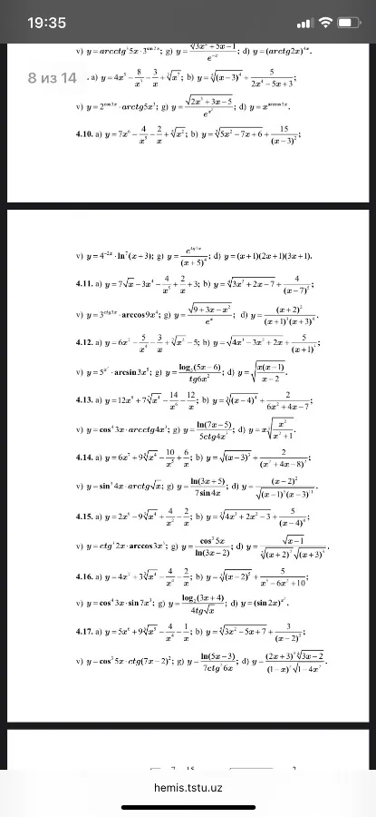
Реши задачу 4.14 варианты А и Б
И найди производные заданных функции

Задание 4.14 (a)

Найти производную функции $y = 6x^2 + 9\sqrt[3]{x^2} - \frac{10}{x^6}$.

Решение:

  1. Преобразуем функцию, чтобы было удобнее дифференцировать:
    $$y = 6x^2 + 9x^{\frac{2}{3}} - 10x^{-6}$$

  2. Применим правило дифференцирования для каждого члена:

    • Производная $x^n$ равна $nx^{n-1}$.
    • Производная константы, умноженной на функцию, равна константе, умноженной на производную функции.
  3. Найдем производную:
    $$y' = \frac{d}{dx}(6x^2) + \frac{d}{dx}(9x^{\frac{2}{3}}) - \frac{d}{dx}(10x^{-6})$$
    $$y' = 6 \cdot 2x^{2-1} + 9 \cdot \frac{2}{3}x^{\frac{2}{3}-1} - 10 \cdot (-6)x^{-6-1}$$
    $$y' = 12x + 6x^{-\frac{1}{3}} + 60x^{-7}$$

  4. Преобразуем обратно:
    $$y' = 12x + \frac{6}{\sqrt[3]{x}} + \frac{60}{x^7}$$

Ответ:
$$y' = 12x + \frac{6}{\sqrt[3]{x}} + \frac{60}{x^7}$$

Задание 4.14 (б)

Найти производную функции $y = \sqrt{(3-x)^3} - \frac{2}{x^2+1}$.

Решение:

  1. Преобразуем функцию:
    $$y = (3-x)^{\frac{3}{2}} - 2(x^2+1)^{-1}$$

  2. Применим правило дифференцирования сложной функции (цепное правило):

    • Производная $(f(x))^n$ равна $n(f(x))^{n-1} \cdot f'(x)$.
    • Производная $x^2+1$ равна $2x$.
  3. Найдем производную:
    $$y' = \frac{d}{dx}((3-x)^{\frac{3}{2}}) - \frac{d}{dx}(2(x^2+1)^{-1})$$
    $$y' = \frac{3}{2}(3-x)^{\frac{3}{2}-1} \cdot (-1) - 2 \cdot (-1)(x^2+1)^{-1-1} \cdot 2x$$
    $$y' = -\frac{3}{2}(3-x)^{\frac{1}{2}} + 4x(x^2+1)^{-2}$$

  4. Преобразуем обратно:
    $$y' = -\frac{3}{2}\sqrt{3-x} + \frac{4x}{(x^2+1)^2}$$

Ответ:
$$y' = -\frac{3}{2}\sqrt{3-x} + \frac{4x}{(x^2+1)^2}$$

Photo
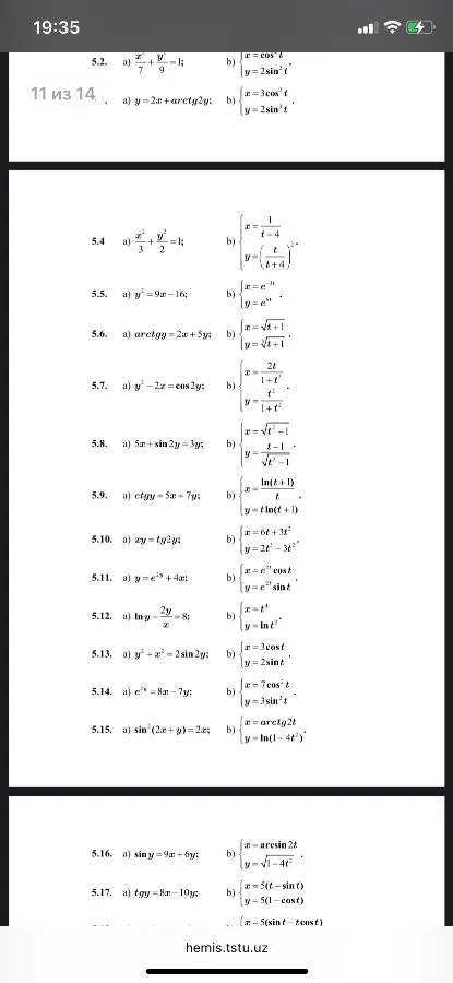
Реши задачу 5.14 А и Б варианты
Вычислите у и у" для заданных функций.

Ассистент: ## Задание 5.14 (а)
Вычислить $y'$ и $y''$ для функции $e^{xy} + 8x - 7y = 0$.

Решение:

  1. Находим первую производную $y'$ (неявное дифференцирование):
    Дифференцируем обе части уравнения по $x$, учитывая, что $y$ является функцией от $x$:
    $$\frac{d}{dx}(e^{xy}) + \frac{d}{dx}(8x) - \frac{d}{dx}(7y) = 0$$

    Применяем цепное правило к $e^{xy}$:
    $$e^{xy} \cdot \frac{d}{dx}(xy) + 8 - 7\frac{dy}{dx} = 0$$
    $$e^{xy} \cdot (x\frac{dy}{dx} + y) + 8 - 7\frac{dy}{dx} = 0$$
    $$xe^{xy}\frac{dy}{dx} + ye^{xy} + 8 - 7\frac{dy}{dx} = 0$$

    Выражаем $\frac{dy}{dx}$:
    $$\frac{dy}{dx}(xe^{xy} - 7) = -ye^{xy} - 8$$
    $$\frac{dy}{dx} = \frac{-ye^{xy} - 8}{xe^{xy} - 7}$$
    $$y' = \frac{ye^{xy} + 8}{7 - xe^{xy}}$$

  2. Находим вторую производную $y''$:
    Дифференцируем $y'$ по $x$, используя правило частного:
    $$y'' = \frac{d}{dx}\left(\frac{ye^{xy} + 8}{7 - xe^{xy}}\right)$$
    $$y'' = \frac{(y'e^{xy} + ye^{xy}(y + xy') + 0)(7 - xe^{xy}) - (ye^{xy} + 8)(0 - e^{xy} - xe^{xy}(y + xy'))}{(7 - xe^{xy})^2}$$
    $$y'' = \frac{(y'e^{xy} + y^2e^{xy} + xy'e^{xy})(7 - xe^{xy}) + (ye^{xy} + 8)(e^{xy} + xye^{xy} + x^2y'e^{xy})}{(7 - xe^{xy})^2}$$

    Подставляем $y' = \frac{ye^{xy} + 8}{7 - xe^{xy}}$ и упрощаем (это довольно громоздко, но можно сделать):
    $$y'' = \frac{(7 - xe^{xy})(y'e^{xy} + y^2e^{xy} + xy'e^{xy}) + (ye^{xy} + 8)(e^{xy} + xye^{xy} + x^2y'e^{xy})}{(7 - xe^{xy})^2}$$

Ответ:
$$y' = \frac{ye^{xy} + 8}{7 - xe^{xy}}$$
$$y'' = \frac{(7 - xe^{xy})(y'e^{xy} + y^2e^{xy} + xy'e^{xy}) + (ye^{xy} + 8)(e^{xy} + xye^{xy} + x^2y'e^{xy})}{(7 - xe^{xy})^2}$$

Задание 5.14 (б)

Вычислить $y'$ и $y''$ для функции $x = 7\cos^3 t$, $y = 3\sin^3 t$.

Решение:

  1. Находим первую производную $y'$:
    Используем параметрическое дифференцирование:
    $$y' = \frac{dy}{dx} = \frac{\frac{dy}{dt}}{\frac{dx}{dt}}$$

    Находим $\frac{dy}{dt}$ и $\frac{dx}{dt}$:
    $$\frac{dy}{dt} = \frac{d}{dt}(3\sin^3 t) = 3 \cdot 3\sin^2 t \cdot \cos t = 9\sin^2 t \cos t$$
    $$\frac{dx}{dt} = \frac{d}{dt}(7\cos^3 t) = 7 \cdot 3\cos^2 t \cdot (-\sin t) = -21\cos^2 t \sin t$$

    Тогда:
    $$y' = \frac{9\sin^2 t \cos t}{-21\cos^2 t \sin t} = -\frac{3\sin t}{7\cos t} = -\frac{3}{7}\tan t$$

  2. Находим вторую производную $y''$:
    $$y'' = \frac{d^2y}{dx^2} = \frac{d}{dx}\left(\frac{dy}{dx}\right) = \frac{\frac{d}{dt}\left(\frac{dy}{dx}\right)}{\frac{dx}{dt}}$$

    Находим $\frac{d}{dt}\left(\frac{dy}{dx}\right)$:
    $$\frac{d}{dt}\left(-\frac{3}{7}\tan t\right) = -\frac{3}{7}\sec^2 t = -\frac{3}{7\cos^2 t}$$

    Тогда:
    $$y'' = \frac{-\frac{3}{7\cos^2 t}}{-21\cos^2 t \sin t} = \frac{3}{7\cos^2 t} \cdot \frac{1}{21\cos^2 t \sin t} = \frac{1}{49\cos^4 t \sin t}$$

Ответ:
$$y' = -\frac{3}{7}\tan t$$
$$y'' = \frac{1}{49\cos^4 t \sin t}$$

Photo
Реши задачу 6.14
Найдите n го порядка производную заданной функции

Ассистент: ## Задание 6.14
Найти $n$-ю производную функции $y = \frac{1}{x-6}$.

Решение:

  1. Первая производная:
    $$y' = \frac{d}{dx}( (x-6)^{-1} ) = -1(x-6)^{-2} = -\frac{1}{(x-6)^2}$$

  2. Вторая производная:
    $$y'' = \frac{d}{dx}( -1(x-6)^{-2} ) = (-1)(-2)(x-6)^{-3} = \frac{2}{(x-6)^3}$$

  3. Третья производная:
    $$y''' = \frac{d}{dx}( 2(x-6)^{-3} ) = 2(-3)(x-6)^{-4} = -\frac{6}{(x-6)^4}$$

  4. Четвертая производная:
    $$y^{(4)} = \frac{d}{dx}( -6(x-6)^{-4} ) = -6(-4)(x-6)^{-5} = \frac{24}{(x-6)^5}$$

Заметим закономерность:
* Знак чередуется: $(-1)^n$
* В числителе: $n!$
* В знаменателе: $(x-6)^{n+1}$

Таким образом, $n$-я производная имеет вид:
$$y^{(n)} = \frac{(-1)^n n!}{(x-6)^{n+1}}$$

Ответ:
$$y^{(n)} = \frac{(-1)^n n!}{(x-6)^{n+1}}$$

thinking img
progress gif

Текст скопирован
Готово
Ошибка
×