🎄 🎄

Решение интегралов методом замены переменной и интегрированием по частям

Photo

Привет! Отлично, вижу задания на интегрирование. Давай начнем с первого.

Задание 1

a) $\int \frac{x}{\sqrt{4-x^2}} dx$

Решение:

  1. Заметим, что производная подкоренного выражения близка к числителю. Сделаем замену:

    $t = 4 - x^2$
    $dt = -2x \, dx$
    $x \, dx = -\frac{1}{2} dt$
    2. Подставим в интеграл:

    $\int \frac{x}{\sqrt{4-x^2}} dx = \int \frac{-\frac{1}{2} dt}{\sqrt{t}} = -\frac{1}{2} \int t^{-1/2} dt$
    3. Вычислим интеграл:

    $-\frac{1}{2} \int t^{-1/2} dt = -\frac{1}{2} \cdot \frac{t^{1/2}}{1/2} + C = -t^{1/2} + C = -\sqrt{t} + C$
    4. Вернемся к исходной переменной:

    $-\sqrt{t} + C = -\sqrt{4-x^2} + C$

Ответ:
$\int \frac{x}{\sqrt{4-x^2}} dx = -\sqrt{4-x^2} + C$

Задание 1

б) $\int \frac{2x-1}{x^2 - x + 1} dx$

Решение:

  1. Заметим, что производная знаменателя близка к числителю. Найдем производную знаменателя: $(x^2 - x + 1)' = 2x - 1$.
  2. Представим интеграл в виде:

    $\int \frac{2x-1}{x^2 - x + 1} dx = \int \frac{d(x^2 - x + 1)}{x^2 - x + 1}$
    3. Воспользуемся формулой $\int \frac{du}{u} = \ln|u| + C$:

    $\int \frac{d(x^2 - x + 1)}{x^2 - x + 1} = \ln|x^2 - x + 1| + C$

    Поскольку $x^2 - x + 1 = (x - \frac{1}{2})^2 + \frac{3}{4} > 0$ при любом $x$, модуль можно опустить.

Ответ:
$\int \frac{2x-1}{x^2 - x + 1} dx = \ln(x^2 - x + 1) + C$

Задание 1

в) $\int \sqrt[3]{x} \ln x \, dx$

Решение:

  1. Применим метод интегрирования по частям:

    $\int u \, dv = uv - \int v \, du$

    Пусть $u = \ln x$, тогда $du = \frac{1}{x} dx$.
    Пусть $dv = x^{1/3} dx$, тогда $v = \int x^{1/3} dx = \frac{3}{4} x^{4/3}$.
    2. Подставим в формулу интегрирования по частям:

    $\int x^{1/3} \ln x \, dx = \ln x \cdot \frac{3}{4} x^{4/3} - \int \frac{3}{4} x^{4/3} \cdot \frac{1}{x} dx = \frac{3}{4} x^{4/3} \ln x - \frac{3}{4} \int x^{1/3} dx$
    3. Вычислим оставшийся интеграл:

    $\frac{3}{4} \int x^{1/3} dx = \frac{3}{4} \cdot \frac{3}{4} x^{4/3} + C = \frac{9}{16} x^{4/3} + C$
    4. Запишем окончательный ответ:

    $\int x^{1/3} \ln x \, dx = \frac{3}{4} x^{4/3} \ln x - \frac{9}{16} x^{4/3} + C$

Ответ:
$\int \sqrt[3]{x} \ln x \, dx = \frac{3}{4} x^{4/3} \ln x - \frac{9}{16} x^{4/3} + C$

Продолжи решать все оставшиеся задания с фото, которые еще не были решены, дай подробные объяснения

Ассистент: Конечно, продолжим решать задания по порядку.

Задание 2

a) $\int \sqrt{(2-x^2)^7} x \, dx$

Решение:

  1. Заметим, что производная подкоренного выражения близка к множителю $x$. Сделаем замену:

    $t = 2 - x^2$
    $dt = -2x \, dx$
    $x \, dx = -\frac{1}{2} dt$
    2. Подставим в интеграл:

    $\int \sqrt{(2-x^2)^7} x \, dx = \int \sqrt{t^7} \cdot (-\frac{1}{2}) dt = -\frac{1}{2} \int t^{7/2} dt$
    3. Вычислим интеграл:

    $-\frac{1}{2} \int t^{7/2} dt = -\frac{1}{2} \cdot \frac{t^{9/2}}{9/2} + C = -\frac{1}{2} \cdot \frac{2}{9} t^{9/2} + C = -\frac{1}{9} t^{9/2} + C$
    4. Вернемся к исходной переменной:

    $-\frac{1}{9} t^{9/2} + C = -\frac{1}{9} (2-x^2)^{9/2} + C$

Ответ:
$\int \sqrt{(2-x^2)^7} x \, dx = -\frac{1}{9} (2-x^2)^{9/2} + C$

Задание 2

б) $\int \frac{6x-7}{3x^2 - 7x + 11} dx$

Решение:

  1. Заметим, что производная знаменателя близка к числителю. Найдем производную знаменателя: $(3x^2 - 7x + 11)' = 6x - 7$.
  2. Представим интеграл в виде:

    $\int \frac{6x-7}{3x^2 - 7x + 11} dx = \int \frac{d(3x^2 - 7x + 11)}{3x^2 - 7x + 11}$
    3. Воспользуемся формулой $\int \frac{du}{u} = \ln|u| + C$:

    $\int \frac{d(3x^2 - 7x + 11)}{3x^2 - 7x + 11} = \ln|3x^2 - 7x + 11| + C$

    Поскольку $3x^2 - 7x + 11 > 0$ при любом $x$ (дискриминант отрицательный), модуль можно опустить.

Ответ:
$\int \frac{6x-7}{3x^2 - 7x + 11} dx = \ln(3x^2 - 7x + 11) + C$

Задание 2

в) $\int \arctan{\sqrt{x}} \, dx$

Решение:

  1. Применим метод интегрирования по частям:

    $\int u \, dv = uv - \int v \, du$

    Пусть $u = \arctan{\sqrt{x}}$, тогда $du = \frac{1}{1 + (\sqrt{x})^2} \cdot \frac{1}{2\sqrt{x}} dx = \frac{1}{2\sqrt{x}(1+x)} dx$.
    Пусть $dv = dx$, тогда $v = x$.
    2. Подставим в формулу интегрирования по частям:

    $\int \arctan{\sqrt{x}} \, dx = x \arctan{\sqrt{x}} - \int x \cdot \frac{1}{2\sqrt{x}(1+x)} dx = x \arctan{\sqrt{x}} - \frac{1}{2} \int \frac{\sqrt{x}}{1+x} dx$
    3. Вычислим оставшийся интеграл. Сделаем замену $t = \sqrt{x}$, тогда $x = t^2$ и $dx = 2t \, dt$:

    $\frac{1}{2} \int \frac{\sqrt{x}}{1+x} dx = \frac{1}{2} \int \frac{t}{1+t^2} \cdot 2t \, dt = \int \frac{t^2}{1+t^2} dt = \int \frac{t^2 + 1 - 1}{1+t^2} dt = \int (1 - \frac{1}{1+t^2}) dt = t - \arctan{t} + C$
    4. Вернемся к исходной переменной:

    $t - \arctan{t} + C = \sqrt{x} - \arctan{\sqrt{x}} + C$
    5. Запишем окончательный ответ:

    $\int \arctan{\sqrt{x}} \, dx = x \arctan{\sqrt{x}} - (\sqrt{x} - \arctan{\sqrt{x}}) + C = (x+1) \arctan{\sqrt{x}} - \sqrt{x} + C$

Ответ:
$\int \arctan{\sqrt{x}} \, dx = (x+1) \arctan{\sqrt{x}} - \sqrt{x} + C$

Продолжи решать все оставшиеся задания с фото, которые еще не были решены, дай подробные объяснения

Ассистент: Продолжим решать задания по порядку.

Задание 3

a) $\int \frac{\arcsin x}{\sqrt{1-x^2}} dx$

Решение:

  1. Заметим, что производная $\arcsin x$ есть $\frac{1}{\sqrt{1-x^2}}$. Сделаем замену:

    $t = \arcsin x$
    $dt = \frac{1}{\sqrt{1-x^2}} dx$
    2. Подставим в интеграл:

    $\int \frac{\arcsin x}{\sqrt{1-x^2}} dx = \int t \, dt$
    3. Вычислим интеграл:

    $\int t \, dt = \frac{t^2}{2} + C$
    4. Вернемся к исходной переменной:

    $\frac{t^2}{2} + C = \frac{(\arcsin x)^2}{2} + C$

Ответ:
$\int \frac{\arcsin x}{\sqrt{1-x^2}} dx = \frac{(\arcsin x)^2}{2} + C$

Задание 3

б) $\int \frac{12x+1}{6x^2 + x - 1} dx$

Решение:

  1. Заметим, что производная знаменателя близка к числителю. Найдем производную знаменателя: $(6x^2 + x - 1)' = 12x + 1$.
  2. Представим интеграл в виде:

    $\int \frac{12x+1}{6x^2 + x - 1} dx = \int \frac{d(6x^2 + x - 1)}{6x^2 + x - 1}$
    3. Воспользуемся формулой $\int \frac{du}{u} = \ln|u| + C$:

    $\int \frac{d(6x^2 + x - 1)}{6x^2 + x - 1} = \ln|6x^2 + x - 1| + C$

Ответ:
$\int \frac{12x+1}{6x^2 + x - 1} dx = \ln|6x^2 + x - 1| + C$

Задание 3

в) $\int x \ln \frac{x}{x+1} dx$

Решение:

  1. Применим метод интегрирования по частям:

    $\int u \, dv = uv - \int v \, du$

    Пусть $u = \ln \frac{x}{x+1} = \ln x - \ln (x+1)$, тогда $du = (\frac{1}{x} - \frac{1}{x+1}) dx = \frac{1}{x(x+1)} dx$.
    Пусть $dv = x \, dx$, тогда $v = \int x \, dx = \frac{x^2}{2}$.
    2. Подставим в формулу интегрирования по частям:

    $\int x \ln \frac{x}{x+1} dx = \frac{x^2}{2} \ln \frac{x}{x+1} - \int \frac{x^2}{2} \cdot \frac{1}{x(x+1)} dx = \frac{x^2}{2} \ln \frac{x}{x+1} - \frac{1}{2} \int \frac{x}{x+1} dx$
    3. Вычислим оставшийся интеграл:

    $\int \frac{x}{x+1} dx = \int \frac{x+1-1}{x+1} dx = \int (1 - \frac{1}{x+1}) dx = x - \ln|x+1| + C$
    4. Запишем окончательный ответ:

    $\int x \ln \frac{x}{x+1} dx = \frac{x^2}{2} \ln \frac{x}{x+1} - \frac{1}{2} (x - \ln|x+1|) + C = \frac{x^2}{2} \ln \frac{x}{x+1} - \frac{x}{2} + \frac{1}{2} \ln|x+1| + C$

Ответ:
$\int x \ln \frac{x}{x+1} dx = \frac{x^2}{2} \ln \frac{x}{x+1} - \frac{x}{2} + \frac{1}{2} \ln|x+1| + C$

Продолжи решать все оставшиеся задания с фото, которые еще не были решены, дай подробные объяснения

Ассистент: Продолжим решать задания по порядку.

Задание 4

a) $\int e^{-x^2} x \, dx$

Решение:

  1. Заметим, что производная показателя экспоненты близка к множителю $x$. Сделаем замену:

    $t = -x^2$
    $dt = -2x \, dx$
    $x \, dx = -\frac{1}{2} dt$
    2. Подставим в интеграл:

    $\int e^{-x^2} x \, dx = \int e^t \cdot (-\frac{1}{2}) dt = -\frac{1}{2} \int e^t dt$
    3. Вычислим интеграл:

    $-\frac{1}{2} \int e^t dt = -\frac{1}{2} e^t + C$
    4. Вернемся к исходной переменной:

    $-\frac{1}{2} e^t + C = -\frac{1}{2} e^{-x^2} + C$

Ответ:
$\int e^{-x^2} x \, dx = -\frac{1}{2} e^{-x^2} + C$

Задание 4

б) $\int \frac{dx}{\sqrt{5-7x+3x^2}}$

Решение:

  1. Выделим полный квадрат в подкоренном выражении:

    $3x^2 - 7x + 5 = 3(x^2 - \frac{7}{3}x) + 5 = 3(x^2 - \frac{7}{3}x + (\frac{7}{6})^2) - 3(\frac{7}{6})^2 + 5 = 3(x - \frac{7}{6})^2 - \frac{49}{12} + \frac{60}{12} = 3(x - \frac{7}{6})^2 + \frac{11}{12}$
    2. Преобразуем интеграл:

    $\int \frac{dx}{\sqrt{5-7x+3x^2}} = \int \frac{dx}{\sqrt{3(x - \frac{7}{6})^2 + \frac{11}{12}}} = \frac{1}{\sqrt{3}} \int \frac{dx}{\sqrt{(x - \frac{7}{6})^2 + \frac{11}{36}}}$
    3. Сделаем замену $t = x - \frac{7}{6}$, тогда $dt = dx$:

    $\frac{1}{\sqrt{3}} \int \frac{dt}{\sqrt{t^2 + (\frac{\sqrt{11}}{6})^2}}$
    4. Воспользуемся формулой $\int \frac{dx}{\sqrt{x^2 + a^2}} = \ln|x + \sqrt{x^2 + a^2}| + C$:

    $\frac{1}{\sqrt{3}} \int \frac{dt}{\sqrt{t^2 + (\frac{\sqrt{11}}{6})^2}} = \frac{1}{\sqrt{3}} \ln|t + \sqrt{t^2 + \frac{11}{36}}| + C$
    5. Вернемся к исходной переменной:

    $\frac{1}{\sqrt{3}} \ln|x - \frac{7}{6} + \sqrt{(x - \frac{7}{6})^2 + \frac{11}{36}}| + C = \frac{1}{\sqrt{3}} \ln|x - \frac{7}{6} + \sqrt{\frac{3x^2 - 7x + 5}{3}}| + C$

Ответ:
$\int \frac{dx}{\sqrt{5-7x+3x^2}} = \frac{1}{\sqrt{3}} \ln|x - \frac{7}{6} + \sqrt{\frac{3x^2 - 7x + 5}{3}}| + C$

Задание 4

в) $\int \frac{\arcsin \sqrt{x}}{\sqrt{x}} dx$

Решение:

  1. Сделаем замену $t = \sqrt{x}$, тогда $x = t^2$ и $dx = 2t \, dt$:

    $\int \frac{\arcsin \sqrt{x}}{\sqrt{x}} dx = \int \frac{\arcsin t}{t} \cdot 2t \, dt = 2 \int \arcsin t \, dt$
    2. Применим метод интегрирования по частям:

    $\int u \, dv = uv - \int v \, du$

    Пусть $u = \arcsin t$, тогда $du = \frac{1}{\sqrt{1-t^2}} dt$.
    Пусть $dv = dt$, тогда $v = t$.
    3. Подставим в формулу интегрирования по частям:

    $2 \int \arcsin t \, dt = 2(t \arcsin t - \int \frac{t}{\sqrt{1-t^2}} dt)$
    4. Вычислим оставшийся интеграл. Сделаем замену $z = 1 - t^2$, тогда $dz = -2t \, dt$:

    $- \int \frac{t}{\sqrt{1-t^2}} dt = \frac{1}{2} \int \frac{dz}{\sqrt{z}} = \sqrt{z} + C = \sqrt{1-t^2} + C$
    5. Запишем окончательный ответ:

    $2(t \arcsin t + \sqrt{1-t^2}) + C = 2(\sqrt{x} \arcsin \sqrt{x} + \sqrt{1-x}) + C$

Ответ:
$\int \frac{\arcsin \sqrt{x}}{\sqrt{x}} dx = 2\sqrt{x} \arcsin \sqrt{x} + 2\sqrt{1-x} + C$

Продолжи решать все оставшиеся задания с фото, которые еще не были решены, дай подробные объяснения

Ассистент: Продолжим решать задания по порядку.

Задание 5

a) $\int \frac{\ln^3 x}{x} dx$

Решение:

  1. Заметим, что производная $\ln x$ есть $\frac{1}{x}$. Сделаем замену:

    $t = \ln x$
    $dt = \frac{1}{x} dx$
    2. Подставим в интеграл:

    $\int \frac{\ln^3 x}{x} dx = \int t^3 \, dt$
    3. Вычислим интеграл:

    $\int t^3 \, dt = \frac{t^4}{4} + C$
    4. Вернемся к исходной переменной:

    $\frac{t^4}{4} + C = \frac{(\ln x)^4}{4} + C$

Ответ:
$\int \frac{\ln^3 x}{x} dx = \frac{(\ln x)^4}{4} + C$

Задание 5

б) $\int \frac{(x+3)dx}{\sqrt{4x^2 + 4x + 3}}$

Решение:

  1. Преобразуем числитель, чтобы выделить производную подкоренного выражения. Производная подкоренного выражения: $(4x^2 + 4x + 3)' = 8x + 4$. Выразим $x+3$ через $8x+4$:

    $x + 3 = A(8x + 4) + B$
    $x + 3 = 8Ax + 4A + B$

    $8A = 1 \Rightarrow A = \frac{1}{8}$
    $4A + B = 3 \Rightarrow 4(\frac{1}{8}) + B = 3 \Rightarrow B = 3 - \frac{1}{2} = \frac{5}{2}$

    Таким образом, $x + 3 = \frac{1}{8}(8x + 4) + \frac{5}{2}$
    2. Разделим интеграл на два:

    $\int \frac{(x+3)dx}{\sqrt{4x^2 + 4x + 3}} = \int \frac{\frac{1}{8}(8x + 4) + \frac{5}{2}}{\sqrt{4x^2 + 4x + 3}} dx = \frac{1}{8} \int \frac{(8x + 4)dx}{\sqrt{4x^2 + 4x + 3}} + \frac{5}{2} \int \frac{dx}{\sqrt{4x^2 + 4x + 3}}$
    3. Вычислим первый интеграл. Сделаем замену $t = 4x^2 + 4x + 3$, тогда $dt = (8x + 4) dx$:

    $\frac{1}{8} \int \frac{dt}{\sqrt{t}} = \frac{1}{8} \cdot 2\sqrt{t} + C_1 = \frac{1}{4} \sqrt{4x^2 + 4x + 3} + C_1$
    4. Вычислим второй интеграл. Выделим полный квадрат в подкоренном выражении:

    $4x^2 + 4x + 3 = 4(x^2 + x) + 3 = 4(x^2 + x + \frac{1}{4}) - 4(\frac{1}{4}) + 3 = 4(x + \frac{1}{2})^2 + 2$

    $\frac{5}{2} \int \frac{dx}{\sqrt{4(x + \frac{1}{2})^2 + 2}} = \frac{5}{2} \cdot \frac{1}{2} \int \frac{dx}{\sqrt{(x + \frac{1}{2})^2 + \frac{1}{2}}} = \frac{5}{4} \int \frac{dx}{\sqrt{(x + \frac{1}{2})^2 + (\frac{1}{\sqrt{2}})^2}}$

    Воспользуемся формулой $\int \frac{dx}{\sqrt{x^2 + a^2}} = \ln|x + \sqrt{x^2 + a^2}| + C$:

    $\frac{5}{4} \ln|x + \frac{1}{2} + \sqrt{(x + \frac{1}{2})^2 + \frac{1}{2}}| + C_2 = \frac{5}{4} \ln|x + \frac{1}{2} + \sqrt{\frac{4x^2 + 4x + 3}{4}}| + C_2 = \frac{5}{4} \ln|x + \frac{1}{2} + \frac{\sqrt{4x^2 + 4x + 3}}{2}| + C_2$
    5. Запишем окончательный ответ:

    $\frac{1}{4} \sqrt{4x^2 + 4x + 3} + \frac{5}{4} \ln|x + \frac{1}{2} + \frac{\sqrt{4x^2 + 4x + 3}}{2}| + C$

Ответ:
$\int \frac{(x+3)dx}{\sqrt{4x^2 + 4x + 3}} = \frac{1}{4} \sqrt{4x^2 + 4x + 3} + \frac{5}{4} \ln|x + \frac{1}{2} + \frac{\sqrt{4x^2 + 4x + 3}}{2}| + C$

Задание 5

в) $\int \arctan{\sqrt{x}} \, dx$

Решение:

Это задание уже было решено ранее (Задание 2в).

Продолжи решать все оставшиеся задания с фото, которые еще не были решены, дай подробные объяснения

Ассистент: Отлично, продолжим решать задания по порядку.

Задание 6

a) $\int \frac{x^3}{\sqrt{1-x^2}} dx$

Решение:

  1. Заметим, что производная подкоренного выражения близка к числителю (если выделить $x$). Сделаем замену:

    $t = 1 - x^2$
    $dt = -2x \, dx$
    $x \, dx = -\frac{1}{2} dt$

    Выразим $x^2$ через $t$: $x^2 = 1 - t$
    2. Подставим в интеграл:

    $\int \frac{x^3}{\sqrt{1-x^2}} dx = \int \frac{x^2 \cdot x}{\sqrt{1-x^2}} dx = \int \frac{(1-t)}{\sqrt{t}} \cdot (-\frac{1}{2}) dt = -\frac{1}{2} \int \frac{1-t}{\sqrt{t}} dt = -\frac{1}{2} \int (t^{-1/2} - t^{1/2}) dt$
    3. Вычислим интеграл:

    $-\frac{1}{2} \int (t^{-1/2} - t^{1/2}) dt = -\frac{1}{2} (2t^{1/2} - \frac{2}{3} t^{3/2}) + C = -t^{1/2} + \frac{1}{3} t^{3/2} + C$
    4. Вернемся к исходной переменной:

    $-(1-x^2)^{1/2} + \frac{1}{3} (1-x^2)^{3/2} + C = -\sqrt{1-x^2} + \frac{1}{3} (1-x^2)\sqrt{1-x^2} + C = \sqrt{1-x^2} (\frac{1}{3}(1-x^2) - 1) + C = \sqrt{1-x^2} (\frac{1}{3} - \frac{1}{3}x^2 - 1) + C = \sqrt{1-x^2} (-\frac{2}{3} - \frac{1}{3}x^2) + C = -\frac{1}{3} \sqrt{1-x^2} (2 + x^2) + C$

Ответ:
$\int \frac{x^3}{\sqrt{1-x^2}} dx = -\frac{1}{3} (x^2 + 2)\sqrt{1-x^2} + C$

Задание 6

б) $\int \frac{dx}{5x^2 - 2x + 1}$

Решение:

  1. Выделим полный квадрат в знаменателе:

    $5x^2 - 2x + 1 = 5(x^2 - \frac{2}{5}x) + 1 = 5(x^2 - \frac{2}{5}x + (\frac{1}{5})^2) - 5(\frac{1}{5})^2 + 1 = 5(x - \frac{1}{5})^2 - \frac{1}{5} + 1 = 5(x - \frac{1}{5})^2 + \frac{4}{5}$
    2. Преобразуем интеграл:

    $\int \frac{dx}{5x^2 - 2x + 1} = \int \frac{dx}{5(x - \frac{1}{5})^2 + \frac{4}{5}} = \frac{1}{5} \int \frac{dx}{(x - \frac{1}{5})^2 + \frac{4}{25}}$
    3. Сделаем замену $t = x - \frac{1}{5}$, тогда $dt = dx$:

    $\frac{1}{5} \int \frac{dt}{t^2 + (\frac{2}{5})^2}$
    4. Воспользуемся формулой $\int \frac{dx}{x^2 + a^2} = \frac{1}{a} \arctan{\frac{x}{a}} + C$:

    $\frac{1}{5} \int \frac{dt}{t^2 + (\frac{2}{5})^2} = \frac{1}{5} \cdot \frac{1}{\frac{2}{5}} \arctan{\frac{t}{\frac{2}{5}}} + C = \frac{1}{5} \cdot \frac{5}{2} \arctan{\frac{5t}{2}} + C = \frac{1}{2} \arctan{\frac{5t}{2}} + C$
    5. Вернемся к исходной переменной:

    $\frac{1}{2} \arctan{\frac{5(x - \frac{1}{5})}{2}} + C = \frac{1}{2} \arctan{\frac{5x - 1}{2}} + C$

Ответ:
$\int \frac{dx}{5x^2 - 2x + 1} = \frac{1}{2} \arctan{\frac{5x - 1}{2}} + C$

Задание 6

в) $\int x \cdot \arctan x \, dx$

Решение:

  1. Применим метод интегрирования по частям:

    $\int u \, dv = uv - \int v \, du$

    Пусть $u = \arctan x$, тогда $du = \frac{1}{1+x^2} dx$.
    Пусть $dv = x \, dx$, тогда $v = \int x \, dx = \frac{x^2}{2}$.
    2. Подставим в формулу интегрирования по частям:

    $\int x \arctan x \, dx = \frac{x^2}{2} \arctan x - \int \frac{x^2}{2} \cdot \frac{1}{1+x^2} dx = \frac{x^2}{2} \arctan x - \frac{1}{2} \int \frac{x^2}{1+x^2} dx$
    3. Вычислим оставшийся интеграл:

    $\int \frac{x^2}{1+x^2} dx = \int \frac{x^2 + 1 - 1}{1+x^2} dx = \int (1 - \frac{1}{1+x^2}) dx = x - \arctan x + C$
    4. Запишем окончательный ответ:

    $\int x \arctan x \, dx = \frac{x^2}{2} \arctan x - \frac{1}{2} (x - \arctan x) + C = \frac{x^2}{2} \arctan x - \frac{x}{2} + \frac{1}{2} \arctan x + C = \frac{x^2 + 1}{2} \arctan x - \frac{x}{2} + C$

Ответ:
$\int x \arctan x \, dx = \frac{x^2 + 1}{2} \arctan x - \frac{x}{2} + C$

Продолжи решать все оставшиеся задания с фото, которые еще не были решены, дай подробные объяснения

Ассистент: Ассистент: Продолжим решать задания по порядку.

Задание 7

a) $\int \frac{\cos x}{\sin^4 x} dx$

Решение:

  1. Заметим, что производная $\sin x$ есть $\cos x$. Сделаем замену:

    $t = \sin x$
    $dt = \cos x \, dx$
    2. Подставим в интеграл:

    $\int \frac{\cos x}{\sin^4 x} dx = \int \frac{1}{t^4} dt = \int t^{-4} dt$
    3. Вычислим интеграл:

    $\int t^{-4} dt = \frac{t^{-3}}{-3} + C = -\frac{1}{3t^3} + C$
    4. Вернемся к исходной переменной:

    $-\frac{1}{3t^3} + C = -\frac{1}{3\sin^3 x} + C$

Ответ:
$\int \frac{\cos x}{\sin^4 x} dx = -\frac{1}{3\sin^3 x} + C$

Задание 7

б) $\int \frac{dx}{x^2 + 6x + 18}$

Решение:

  1. Выделим полный квадрат в знаменателе:

    $x^2 + 6x + 18 = (x^2 + 6x + 9) + 9 = (x + 3)^2 + 9$
    2. Преобразуем интеграл:

    $\int \frac{dx}{x^2 + 6x + 18} = \int \frac{dx}{(x + 3)^2 + 9}$
    3. Сделаем замену $t = x + 3$, тогда $dt = dx$:

    $\int \frac{dt}{t^2 + 9}$
    4. Воспользуемся формулой $\int \frac{dx}{x^2 + a^2} = \frac{1}{a} \arctan{\frac{x}{a}} + C$:

    $\int \frac{dt}{t^2 + 9} = \frac{1}{3} \arctan{\frac{t}{3}} + C$
    5. Вернемся к исходной переменной:

    $\frac{1}{3} \arctan{\frac{x+3}{3}} + C$

Ответ:
$\int \frac{dx}{x^2 + 6x + 18} = \frac{1}{3} \arctan{\frac{x+3}{3}} + C$

Задание 7

в) $\int \frac{x}{\cos^2 x} dx$

Решение:

  1. Применим метод интегрирования по частям:

    $\int u \, dv = uv - \int v \, du$

    Пусть $u = x$, тогда $du = dx$.
    Пусть $dv = \frac{1}{\cos^2 x} dx$, тогда $v = \int \frac{1}{\cos^2 x} dx = \tan x$.
    2. Подставим в формулу интегрирования по частям:

    $\int \frac{x}{\cos^2 x} dx = x \tan x - \int \tan x \, dx$
    3. Вычислим оставшийся интеграл:

    $\int \tan x \, dx = \int \frac{\sin x}{\cos x} dx = -\ln|\cos x| + C$
    4. Запишем окончательный ответ:

    $\int \frac{x}{\cos^2 x} dx = x \tan x + \ln|\cos x| + C$

Ответ:
$\int \frac{x}{\cos^2 x} dx = x \tan x + \ln|\cos x| + C$

Варианты продолжения:
1 Изучить тему
Объясни подробно методы интегрирования: замена переменной и интегрирование по частям, дай определения, формулы, правила и примеры применения

Ассистент: Ассистент: Конечно, давайте подробно разберем методы интегрирования: замену переменной и интегрирование по частям.

1. Метод замены переменной (Substitution)

Теория

Метод замены переменной, также известный как u-подстановка, используется для упрощения интегралов путем замены сложной функции на более простую. Основная идея заключается в том, чтобы найти подходящую замену, которая упростит интеграл до табличного или более легкого для вычисления.

Формула

$\int f(g(x)) \cdot g'(x) \, dx = \int f(u) \, du$, где $u = g(x)$ и $du = g'(x) \, dx$

Шаги применения

  1. Выбор замены: Определите функцию $g(x)$, которую удобно заменить на новую переменную $u$. Обычно выбирают функцию, производная которой присутствует в интеграле.
  2. Вычисление производной: Найдите производную $g'(x)$ и выразите $dx$ через $du$: $dx = \frac{du}{g'(x)}$.
  3. Подстановка: Замените $g(x)$ на $u$ и $dx$ на $\frac{du}{g'(x)}$ в исходном интеграле.
  4. Вычисление интеграла: Вычислите полученный интеграл относительно $u$: $\int f(u) \, du = F(u) + C$.
  5. Возврат к исходной переменной: Замените $u$ на $g(x)$ в полученном результате: $F(u) + C = F(g(x)) + C$.

Примеры

Пример 1

$\int 2x \cdot \cos(x^2) \, dx$

  1. Выбор замены: $u = x^2$
  2. Вычисление производной: $du = 2x \, dx$
  3. Подстановка: $\int \cos(u) \, du$
  4. Вычисление интеграла: $\sin(u) + C$
  5. Возврат к исходной переменной: $\sin(x^2) + C$

Пример 2

$\int \frac{e^x}{1 + e^x} \, dx$

  1. Выбор замены: $u = 1 + e^x$
  2. Вычисление производной: $du = e^x \, dx$
  3. Подстановка: $\int \frac{1}{u} \, du$
  4. Вычисление интеграла: $\ln|u| + C$
  5. Возврат к исходной переменной: $\ln|1 + e^x| + C$

2. Метод интегрирования по частям (Integration by Parts)

Теория

Метод интегрирования по частям используется для интегрирования произведения двух функций. Он основан на правиле произведения для дифференцирования.

Формула

$\int u \, dv = uv - \int v \, du$

Шаги применения

  1. Выбор $u$ и $dv$: Разделите интеграл на две части: $u$ и $dv$. Важно выбрать $u$ так, чтобы её производная $du$ упрощала интеграл, а $dv$ должна быть легко интегрируемой.
  2. Вычисление $du$ и $v$: Найдите производную $u$, чтобы получить $du$, и найдите интеграл $dv$, чтобы получить $v$.
  3. Подстановка в формулу: Подставьте $u$, $v$, $du$ и $dv$ в формулу интегрирования по частям.
  4. Вычисление нового интеграла: Вычислите новый интеграл $\int v \, du$. Если он проще исходного, метод был применен успешно.
  5. Запись ответа: Запишите окончательный ответ, добавив константу интегрирования $C$.

Рекомендации по выбору $u$

  • LIATE: Используйте мнемоническое правило LIATE для выбора $u$, где:

    • L - Логарифмические функции
    • I - Обратные тригонометрические функции
    • A - Алгебраические функции
    • T - Тригонометрические функции
    • E - Экспоненциальные функции

    Выбирайте $u$ в соответствии с порядком LIATE. Например, если в интеграле есть логарифмическая и алгебраическая функции, выбирайте логарифмическую функцию в качестве $u$.

Примеры

Пример 1

$\int x \cdot e^x \, dx$

  1. Выбор $u$ и $dv$:
    • $u = x$ (алгебраическая функция)
    • $dv = e^x \, dx$ (экспоненциальная функция)
  2. Вычисление $du$ и $v$:
    • $du = dx$
    • $v = \int e^x \, dx = e^x$
  3. Подстановка в формулу:
    $\int x \cdot e^x \, dx = x \cdot e^x - \int e^x \, dx$
  4. Вычисление нового интеграла:
    $\int e^x \, dx = e^x + C$
  5. Запись ответа:
    $\int x \cdot e^x \, dx = x e^x - e^x + C = e^x(x - 1) + C$

Пример 2

$\int \ln x \, dx$

  1. Выбор $u$ и $dv$:
    • $u = \ln x$ (логарифмическая функция)
    • $dv = dx$
  2. Вычисление $du$ и $v$:
    • $du = \frac{1}{x} dx$
    • $v = \int dx = x$
  3. Подстановка в формулу:
    $\int \ln x \, dx = x \ln x - \int x \cdot \frac{1}{x} dx$
  4. Вычисление нового интеграла:
    $\int dx = x + C$
  5. Запись ответа:
    $\int \ln x \, dx = x \ln x - x + C$

Оба метода, замена переменной и интегрирование по частям, являются мощными инструментами для вычисления интегралов. Выбор метода зависит от структуры интеграла, и часто требуется практика, чтобы научиться эффективно их применять.

8 задание

Ассистент: Ассистент: К сожалению, на предоставленных изображениях нет задания номер 8. Если вы предоставите текст или изображение задания, я с удовольствием помогу вам его решить.

Photo

Ассистент: Ассистент: Ассистент: Вы правы, на изображении есть задание 8. Прошу прощения за невнимательность. Давайте его решим.

Задание 8

a) $\int 2x(x^2 + 1)^5 dx$

Решение:

  1. Заметим, что производная выражения в скобках близка к множителю перед скобкой. Сделаем замену:

    $t = x^2 + 1$
    $dt = 2x \, dx$
    2. Подставим в интеграл:

    $\int 2x(x^2 + 1)^5 dx = \int t^5 dt$
    3. Вычислим интеграл:

    $\int t^5 dt = \frac{t^6}{6} + C$
    4. Вернемся к исходной переменной:

    $\frac{t^6}{6} + C = \frac{(x^2 + 1)^6}{6} + C$

Ответ:
$\int 2x(x^2 + 1)^5 dx = \frac{(x^2 + 1)^6}{6} + C$

Задание 8

б) $\int \frac{(x-3)dx}{3 + 66x - 11x^2}$

Решение:

  1. Преобразуем числитель, чтобы выделить производную знаменателя. Производная знаменателя: $(3 + 66x - 11x^2)' = 66 - 22x$. Выразим $x-3$ через $66-22x$:

    $x - 3 = A(66 - 22x) + B$
    $x - 3 = 66A - 22Ax + B$

    $-22A = 1 \Rightarrow A = -\frac{1}{22}$
    $66A + B = -3 \Rightarrow 66(-\frac{1}{22}) + B = -3 \Rightarrow -3 + B = -3 \Rightarrow B = 0$

    Таким образом, $x - 3 = -\frac{1}{22}(66 - 22x)$
    2. Преобразуем интеграл:

    $\int \frac{(x-3)dx}{3 + 66x - 11x^2} = \int \frac{-\frac{1}{22}(66 - 22x)}{3 + 66x - 11x^2} dx = -\frac{1}{22} \int \frac{(66 - 22x)dx}{3 + 66x - 11x^2}$
    3. Сделаем замену $t = 3 + 66x - 11x^2$, тогда $dt = (66 - 22x) dx$:

    $-\frac{1}{22} \int \frac{dt}{t} = -\frac{1}{22} \ln|t| + C$
    4. Вернемся к исходной переменной:

    $-\frac{1}{22} \ln|3 + 66x - 11x^2| + C$

Ответ:
$\int \frac{(x-3)dx}{3 + 66x - 11x^2} = -\frac{1}{22} \ln|3 + 66x - 11x^2| + C$

Задание 8

б) $\int \frac{(x-3)dx}{3 + 66x - 11x^2}$

Решение:

  1. Преобразуем числитель, чтобы выделить производную знаменателя. Производная знаменателя: $(3 + 66x - 11x^2)' = 66 - 22x$. Выразим $x-3$ через $66-22x$:

    $x - 3 = A(66 - 22x) + B$
    $x - 3 = 66A - 22Ax + B$

    $-22A = 1 \Rightarrow A = -\frac{1}{22}$
    $66A + B = -3 \Rightarrow 66(-\frac{1}{22}) + B = -3 \Rightarrow -3 + B = -3 \Rightarrow B = 0$

    Таким образом, $x - 3 = -\frac{1}{22}(66 - 22x)$
    2. Преобразуем интеграл:

    $\int \frac{(x-3)dx}{3 + 66x - 11x^2} = \int \frac{-\frac{1}{22}(66 - 22x)}{3 + 66x - 11x^2} dx = -\frac{1}{22} \int \frac{(66 - 22x)dx}{3 + 66x - 11x^2}$
    3. Сделаем замену $t = 3 + 66x - 11x^2$, тогда $dt = (66 - 22x) dx$:

    $-\frac{1}{22} \int \frac{dt}{t} = -\frac{1}{22} \ln|t| + C$
    4. Вернемся к исходной переменной:

    $-\frac{1}{22} \ln|3 + 66x - 11x^2| + C$

Ответ:
$\int \frac{(x-3)dx}{3 + 66x - 11x^2} = -\frac{1}{22} \ln|3 + 66x - 11x^2| + C$

Задание 8

в) $\int \frac{\cos x}{\sin^2 x} dx$

Решение:

  1. Заметим, что производная $\sin x$ есть $\cos x$. Сделаем замену:

    $t = \sin x$
    $dt = \cos x \, dx$
    2. Подставим в интеграл:

    $\int \frac{\cos x}{\sin^2 x} dx = \int \frac{1}{t^2} dt = \int t^{-2} dt$
    3. Вычислим интеграл:

    $\int t^{-2} dt = \frac{t^{-1}}{-1} + C = -\frac{1}{t} + C$
    4. Вернемся к исходной переменной:

    $-\frac{1}{t} + C = -\frac{1}{\sin x} + C = -\csc x + C$

Ответ:
$\int \frac{\cos x}{\sin^2 x} dx = -\frac{1}{\sin x} + C = -\csc x + C$

Теперь все задания решены. Если у вас есть еще вопросы, не стесняйтесь спрашивать!

6 и 7 тоже

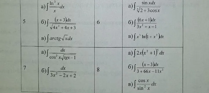
Ассистент: Ассистент: Ассистент: Ассистент: Хорошо, давайте решим задания 6 и 7, которые вы указали на новом изображении.

Задание 6

a) $\int \frac{\sin x}{\sqrt[3]{2 + 3\cos x}} dx$

Решение:

  1. Заметим, что производная выражения под корнем близка к числителю. Сделаем замену:

    $t = 2 + 3\cos x$
    $dt = -3\sin x \, dx$
    $\sin x \, dx = -\frac{1}{3} dt$
    2. Подставим в интеграл:

    $\int \frac{\sin x}{\sqrt[3]{2 + 3\cos x}} dx = \int \frac{-\frac{1}{3} dt}{\sqrt[3]{t}} = -\frac{1}{3} \int t^{-1/3} dt$
    3. Вычислим интеграл:

    $-\frac{1}{3} \int t^{-1/3} dt = -\frac{1}{3} \cdot \frac{t^{2/3}}{2/3} + C = -\frac{1}{3} \cdot \frac{3}{2} t^{2/3} + C = -\frac{1}{2} t^{2/3} + C$
    4. Вернемся к исходной переменной:

    $-\frac{1}{2} t^{2/3} + C = -\frac{1}{2} (2 + 3\cos x)^{2/3} + C$

Ответ:
$\int \frac{\sin x}{\sqrt[3]{2 + 3\cos x}} dx = -\frac{1}{2} (2 + 3\cos x)^{2/3} + C$

Задание 6

б) $\int \frac{(6x+1)dx}{3x^2 + x - 1}$

Решение:

  1. Заметим, что производная знаменателя близка к числителю. Сделаем замену:

    $t = 3x^2 + x - 1$
    $dt = (6x + 1) dx$
    2. Подставим в интеграл:

    $\int \frac{(6x+1)dx}{3x^2 + x - 1} = \int \frac{dt}{t}$
    3. Вычислим интеграл:

    $\int \frac{dt}{t} = \ln|t| + C$
    4. Вернемся к исходной переменной:

    $\ln|t| + C = \ln|3x^2 + x - 1| + C$

Ответ:
$\int \frac{(6x+1)dx}{3x^2 + x - 1} = \ln|3x^2 + x - 1| + C$

Задание 6

в) $\int x^3 \ln(1 + x^2) dx$

Решение:

  1. Применим метод интегрирования по частям:

    $\int u \, dv = uv - \int v \, du$

    Пусть $u = \ln(1 + x^2)$, тогда $du = \frac{2x}{1+x^2} dx$.
    Пусть $dv = x^3 dx$, тогда $v = \int x^3 dx = \frac{x^4}{4}$.
    2. Подставим в формулу интегрирования по частям:

    $\int x^3 \ln(1 + x^2) dx = \frac{x^4}{4} \ln(1 + x^2) - \int \frac{x^4}{4} \cdot \frac{2x}{1+x^2} dx = \frac{x^4}{4} \ln(1 + x^2) - \frac{1}{2} \int \frac{x^5}{1+x^2} dx$
    3. Вычислим оставшийся интеграл:

    $\int \frac{x^5}{1+x^2} dx = \int \frac{x^5 + x^3 - x^3}{1+x^2} dx = \int (x^3 - \frac{x^3}{1+x^2}) dx = \int (x^3 - \frac{x^3 + x - x}{1+x^2}) dx = \int (x^3 - x + \frac{x}{1+x^2}) dx = \frac{x^4}{4} - \frac{x^2}{2} + \frac{1}{2} \ln(1+x^2) + C$
    4. Запишем окончательный ответ:

    $\int x^3 \ln(1 + x^2) dx = \frac{x^4}{4} \ln(1 + x^2) - \frac{1}{2} (\frac{x^4}{4} - \frac{x^2}{2} + \frac{1}{2} \ln(1+x^2)) + C = \frac{x^4}{4} \ln(1 + x^2) - \frac{x^4}{8} + \frac{x^2}{4} - \frac{1}{4} \ln(1+x^2) + C = (\frac{x^4}{4} - \frac{1}{4}) \ln(1 + x^2) - \frac{x^4}{8} + \frac{x^2}{4} + C$

Ответ:
$\int x^3 \ln(1 + x^2) dx = \frac{1}{4}(x^4 - 1) \ln(1 + x^2) - \frac{x^4}{8} + \frac{x^2}{4} + C$

Задание 6

б) $\int \frac{(6x+1)dx}{3x^2 + x - 1}$

Решение:

  1. Заметим, что производная знаменателя близка к числителю. Сделаем замену:

    $t = 3x^2 + x - 1$
    $dt = (6x + 1) dx$
    2. Подставим в интеграл:

    $\int \frac{(6x+1)dx}{3x^2 + x - 1} = \int \frac{dt}{t}$
    3. Вычислим интеграл:

    $\int \frac{dt}{t} = \ln|t| + C$
    4. Вернемся к исходной переменной:

    $\ln|t| + C = \ln|3x^2 + x - 1| + C$

Ответ:
$\int \frac{(6x+1)dx}{3x^2 + x - 1} = \ln|3x^2 + x - 1| + C$

Задание 6

в) $\int x^3 \ln(1 + x^2) dx$

Решение:

  1. Применим метод интегрирования по частям:

    $\int u \, dv = uv - \int v \, du$

    Пусть $u = \ln(1 + x^2)$, тогда $du = \frac{2x}{1+x^2} dx$.
    Пусть $dv = x^3 dx$, тогда $v = \int x^3 dx = \frac{x^4}{4}$.
    2. Подставим в формулу интегрирования по частям:

    $\int x^3 \ln(1 + x^2) dx = \frac{x^4}{4} \ln(1 + x^2) - \int \frac{x^4}{4} \cdot \frac{2x}{1+x^2} dx = \frac{x^4}{4} \ln(1 + x^2) - \frac{1}{2} \int \frac{x^5}{1+x^2} dx$
    3. Вычислим оставшийся интеграл:

    $\int \frac{x^5}{1+x^2} dx = \int \frac{x^5 + x^3 - x^3}{1+x^2} dx = \int (x^3 - \frac{x^3}{1+x^2}) dx = \int (x^3 - \frac{x^3 + x - x}{1+x^2}) dx = \int (x^3 - x + \frac{x}{1+x^2}) dx = \frac{x^4}{4} - \frac{x^2}{2} + \frac{1}{2} \ln(1+x^2) + C$
    4. Запишем окончательный ответ:

    $\int x^3 \ln(1 + x^2) dx = \frac{x^4}{4} \ln(1 + x^2) - \frac{1}{2} (\frac{x^4}{4} - \frac{x^2}{2} + \frac{1}{2} \ln(1+x^2)) + C = \frac{x^4}{4} \ln(1 + x^2) - \frac{x^4}{8} + \frac{x^2}{4} - \frac{1}{4} \ln(1+x^2) + C = (\frac{x^4}{4} - \frac{1}{4}) \ln(1 + x^2) - \frac{x^4}{8} + \frac{x^2}{4} + C$

Ответ:
$\int x^3 \ln(1 + x^2) dx = \frac{1}{4}(x^4 - 1) \ln(1 + x^2) - \frac{x^4}{8} + \frac{x^2}{4} + C$

Задание 7

a) $\int \frac{dx}{\cos^2 x \sqrt{\tan x - 1}}$

Решение:

  1. Заметим, что производная $\tan x$ есть $\frac{1}{\cos^2 x}$. Сделаем замену:

    $t = \tan x - 1$
    $dt = \frac{1}{\cos^2 x} dx$
    2. Подставим в интеграл:

    $\int \frac{dx}{\cos^2 x \sqrt{\tan x - 1}} = \int \frac{dt}{\sqrt{t}} = \int t^{-1/2} dt$
    3. Вычислим интеграл:

    $\int t^{-1/2} dt = 2t^{1/2} + C = 2\sqrt{t} + C$
    4. Вернемся к исходной переменной:

    $2\sqrt{t} + C = 2\sqrt{\tan x - 1} + C$

Ответ:
$\int \frac{dx}{\cos^2 x \sqrt{\tan x - 1}} = 2\sqrt{\tan x - 1} + C$

Задание 7

б) $\int \frac{dx}{3x^2 - 2x + 2}$

Решение:

  1. Выделим полный квадрат в знаменателе:

    $3x^2 - 2x + 2 = 3(x^2 - \frac{2}{3}x) + 2 = 3(x^2 - \frac{2}{3}x + (\frac{1}{3})^2) - 3(\frac{1}{3})^2 + 2 = 3(x - \frac{1}{3})^2 - \frac{1}{3} + 2 = 3(x - \frac{1}{3})^2 + \frac{5}{3}$
    2. Преобразуем интеграл:

    $\int \frac{dx}{3x^2 - 2x + 2} = \int \frac{dx}{3(x - \frac{1}{3})^2 + \frac{5}{3}} = \frac{1}{3} \int \frac{dx}{(x - \frac{1}{3})^2 + \frac{5}{9}}$
    3. Сделаем замену $t = x - \frac{1}{3}$, тогда $dt = dx$:

    $\frac{1}{3} \int \frac{dt}{t^2 + (\frac{\sqrt{5}}{3})^2}$
    4. Воспользуемся формулой $\int \frac{dx}{x^2 + a^2} = \frac{1}{a} \arctan{\frac{x}{a}} + C$:

    $\frac{1}{3} \int \frac{dt}{t^2 + (\frac{\sqrt{5}}{3})^2} = \frac{1}{3} \cdot \frac{1}{\frac{\sqrt{5}}{3}} \arctan{\frac{t}{\frac{\sqrt{5}}{3}}} + C = \frac{1}{3} \cdot \frac{3}{\sqrt{5}} \arctan{\frac{3t}{\sqrt{5}}} + C = \frac{1}{\sqrt{5}} \arctan{\frac{3t}{\sqrt{5}}} + C$
    5. Вернемся к исходной переменной:

    $\frac{1}{\sqrt{5}} \arctan{\frac{3(x - \frac{1}{3})}{\sqrt{5}}} + C = \frac{1}{\sqrt{5}} \arctan{\frac{3x - 1}{\sqrt{5}}} + C$

Ответ:
$\int \frac{dx}{3x^2 - 2x + 2} = \frac{1}{\sqrt{5}} \arctan{\frac{3x - 1}{\sqrt{5}}} + C$

Теперь все указанные задания решены. Если у вас есть еще вопросы, не стесняйтесь спрашивать!

thinking img
progress gif

Текст скопирован
Готово
Ошибка
×