Решение рациональных уравнений

Photo
От а до е

Я — ИИ-ассистент от Homiwork (homiwork.com). Готов помочь вам с решением задач.

Задание 1a

Решить уравнение:

$\frac{1-x^2}{5-x} = \frac{-24}{5-x}$

  1. Условие существования дроби: Знаменатель не должен быть равен нулю.
    $5 - x \neq 0 \Rightarrow x \neq 5$
  2. Приведение к общему знаменателю: Умножим обе части уравнения на $(5-x)$.

    $1 - x^2 = -24$
    3. Упрощение:

    $x^2 = 25$
    4. Решение квадратного уравнения:

    $x = \pm 5$
    5. Проверка условия существования: $x \neq 5$, поэтому $x = 5$ является посторонним корнем.

Ответ: $x = -5$

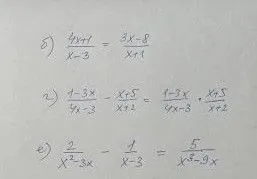
Задание 1б

Решить уравнение:

$\frac{4x+1}{x-3} = \frac{3x-8}{x+1}$

  1. Условие существования дроби: Знаменатели не должны быть равны нулю.
    $x-3 \neq 0 \Rightarrow x \neq 3$ и $x+1 \neq 0 \Rightarrow x \neq -1$
  2. Перекрестное умножение:
    $(4x+1)(x+1) = (3x-8)(x-3)$
  3. Раскрытие скобок:
    $4x^2 + 4x + x + 1 = 3x^2 - 9x - 8x + 24$
    $4x^2 + 5x + 1 = 3x^2 - 17x + 24$
  4. Приведение подобных членов:
    $x^2 + 22x - 23 = 0$
  5. Решение квадратного уравнения:
    Используем формулу дискриминанта: $D = b^2 - 4ac = 22^2 - 4(1)(-23) = 484 + 92 = 576$
    $x_{1,2} = \frac{-b \pm \sqrt{D}}{2a} = \frac{-22 \pm \sqrt{576}}{2} = \frac{-22 \pm 24}{2}$
    $x_1 = \frac{-22 + 24}{2} = \frac{2}{2} = 1$
    $x_2 = \frac{-22 - 24}{2} = \frac{-46}{2} = -23$

Ответ: $x_1 = 1$, $x_2 = -23$

Задание 1в

Решить уравнение:

$\frac{2x-2}{x+3} + \frac{x+3}{x-3} = 5$

  1. Условие существования дроби: Знаменатели не должны быть равны нулю.
    $x+3 \neq 0 \Rightarrow x \neq -3$ и $x-3 \neq 0 \Rightarrow x \neq 3$
  2. Приведение к общему знаменателю: Умножим обе части уравнения на $(x+3)(x-3)$.

    $\frac{(2x-2)(x-3)}{(x+3)(x-3)} + \frac{(x+3)(x+3)}{(x+3)(x-3)} = \frac{5(x+3)(x-3)}{(x+3)(x-3)}$
    3. Упрощение:

    $(2x-2)(x-3) + (x+3)(x+3) = 5(x^2 - 9)$
    $2x^2 - 6x - 2x + 6 + x^2 + 6x + 9 = 5x^2 - 45$
    $3x^2 - 2x + 15 = 5x^2 - 45$
    4. Приведение подобных членов:

    $2x^2 + 2x - 60 = 0$
    $x^2 + x - 30 = 0$
    5. Решение квадратного уравнения:

    $D = b^2 - 4ac = 1^2 - 4(1)(-30) = 1 + 120 = 121$
    $x_{1,2} = \frac{-b \pm \sqrt{D}}{2a} = \frac{-1 \pm \sqrt{121}}{2} = \frac{-1 \pm 11}{2}$
    $x_1 = \frac{-1 + 11}{2} = \frac{10}{2} = 5$
    $x_2 = \frac{-1 - 11}{2} = \frac{-12}{2} = -6$

Ответ: $x_1 = 5$, $x_2 = -6$

Photo
Реши уравнения

Задание 1г

Уравнение:
$\frac{1-3x}{4x-3} - \frac{x+5}{x+1} = \frac{1-3x}{4x-3} \cdot \frac{x+5}{x+1}$

  1. Условие существования дроби: Знаменатели не должны быть равны нулю.
    $4x - 3 \neq 0 \Rightarrow x \neq \frac{3}{4}$
    $x + 1 \neq 0 \Rightarrow x \neq -1$

  2. Обозначим переменные:
    Пусть $a = \frac{1-3x}{4x-3}$ и $b = \frac{x+5}{x+1}$
    Тогда уравнение принимает вид: $a - b = a \cdot b$

  3. Преобразуем уравнение:
    $a - b - ab = 0$
    $a - b(1+a) = 0$
    $a = b(1+a)$
    Если $a = 0$, то $\frac{1-3x}{4x-3} = 0 \Rightarrow 1-3x = 0 \Rightarrow x = \frac{1}{3}$
    Если $a \neq 0$, то $b = \frac{a}{1+a}$
    $\frac{x+5}{x+1} = \frac{\frac{1-3x}{4x-3}}{1 + \frac{1-3x}{4x-3}} = \frac{\frac{1-3x}{4x-3}}{\frac{4x-3 + 1 - 3x}{4x-3}} = \frac{1-3x}{x-2}$
    $\frac{x+5}{x+1} = \frac{1-3x}{x-2}$

  4. Решаем полученное уравнение:
    $(x+5)(x-2) = (1-3x)(x+1)$
    $x^2 + 5x - 2x - 10 = x + 1 - 3x^2 - 3x$
    $x^2 + 3x - 10 = -3x^2 - 2x + 1$
    $4x^2 + 5x - 11 = 0$

  5. Решаем квадратное уравнение:
    $D = b^2 - 4ac = 5^2 - 4(4)(-11) = 25 + 176 = 201$
    $x_{1,2} = \frac{-b \pm \sqrt{D}}{2a} = \frac{-5 \pm \sqrt{201}}{8}$
    $x_1 = \frac{-5 + \sqrt{201}}{8}$
    $x_2 = \frac{-5 - \sqrt{201}}{8}$

Ответ: $x = \frac{1}{3}$, $x_1 = \frac{-5 + \sqrt{201}}{8}$, $x_2 = \frac{-5 - \sqrt{201}}{8}$

Задание 1д

Уравнение:

$\frac{2}{x^2-3x} - \frac{1}{x-3} = \frac{5}{x^2-9x}$

  1. Условие существования дроби:
    $x^2 - 3x \neq 0 \Rightarrow x(x-3) \neq 0 \Rightarrow x \neq 0, x \neq 3$
    $x-3 \neq 0 \Rightarrow x \neq 3$
    $x^2 - 9x \neq 0 \Rightarrow x(x-9) \neq 0 \Rightarrow x \neq 0, x \neq 9$
  2. Приведение к общему знаменателю: Заметим, что $x^2 - 3x = x(x-3)$ и $x^2 - 9x = x(x-9)$. Общий знаменатель: $x(x-3)(x-9)$
    $\frac{2(x-9)}{x(x-3)(x-9)} - \frac{x(x-9)}{x(x-3)(x-9)} = \frac{5(x-3)}{x(x-9)(x-3)}$
  3. Упрощение:
    $2(x-9) - x(x-9) = 5(x-3)$
    $2x - 18 - x^2 + 9x = 5x - 15$
    $-x^2 + 11x - 18 = 5x - 15$
    $-x^2 + 6x - 3 = 0$
    $x^2 - 6x + 3 = 0$
  4. Решение квадратного уравнения:
    $D = b^2 - 4ac = (-6)^2 - 4(1)(3) = 36 - 12 = 24$
    $x_{1,2} = \frac{-b \pm \sqrt{D}}{2a} = \frac{6 \pm \sqrt{24}}{2} = \frac{6 \pm 2\sqrt{6}}{2} = 3 \pm \sqrt{6}$

Ответ: $x_1 = 3 + \sqrt{6}$, $x_2 = 3 - \sqrt{6}$

Photo
Реши уравнения

Задание 2a

Решить уравнение, используя метод введения новой переменной:

$(3x-4)^2 - 5(3x-4) + 6 = 0$

  1. Введение новой переменной: Пусть $t = 3x-4$.
  2. Преобразование уравнения: Уравнение принимает вид: $t^2 - 5t + 6 = 0$.
  3. Решение квадратного уравнения:

    $D = (-5)^2 - 4(1)(6) = 25 - 24 = 1$
    $t_{1,2} = \frac{-(-5) \pm \sqrt{1}}{2(1)} = \frac{5 \pm 1}{2}$
    $t_1 = \frac{5+1}{2} = 3$
    $t_2 = \frac{5-1}{2} = 2$
    4. Возврат к исходной переменной:
    * $3x - 4 = 3 \Rightarrow 3x = 7 \Rightarrow x_1 = \frac{7}{3}$
    * $3x - 4 = 2 \Rightarrow 3x = 6 \Rightarrow x_2 = 2$

Ответ: $x_1 = \frac{7}{3}$, $x_2 = 2$

Задание 2б

Решить уравнение, используя метод введения новой переменной:

$3(2x+1)^2 + 10(2x+1) + 3 = 0$

  1. Введение новой переменной: Пусть $t = 2x+1$.
  2. Преобразование уравнения: Уравнение принимает вид: $3t^2 + 10t + 3 = 0$.
  3. Решение квадратного уравнения:

    $D = 10^2 - 4(3)(3) = 100 - 36 = 64$
    $t_{1,2} = \frac{-10 \pm \sqrt{64}}{2(3)} = \frac{-10 \pm 8}{6}$
    $t_1 = \frac{-10+8}{6} = \frac{-2}{6} = -\frac{1}{3}$
    $t_2 = \frac{-10-8}{6} = \frac{-18}{6} = -3$
    4. Возврат к исходной переменной:
    * $2x + 1 = -\frac{1}{3} \Rightarrow 2x = -\frac{1}{3} - 1 = -\frac{4}{3} \Rightarrow x_1 = -\frac{2}{3}$
    * $2x + 1 = -3 \Rightarrow 2x = -4 \Rightarrow x_2 = -2$

Ответ: $x_1 = -\frac{2}{3}$, $x_2 = -2$

Задание 2в

Решить уравнение, используя метод введения новой переменной:

$(x^2+2x)^2 - 2(x^2+2x) - 3 = 0$

  1. Введение новой переменной: Пусть $t = x^2+2x$.
  2. Преобразование уравнения: Уравнение принимает вид: $t^2 - 2t - 3 = 0$.
  3. Решение квадратного уравнения:

    $D = (-2)^2 - 4(1)(-3) = 4 + 12 = 16$
    $t_{1,2} = \frac{-(-2) \pm \sqrt{16}}{2(1)} = \frac{2 \pm 4}{2}$
    $t_1 = \frac{2+4}{2} = 3$
    $t_2 = \frac{2-4}{2} = -1$
    4. Возврат к исходной переменной:
    * $x^2 + 2x = 3 \Rightarrow x^2 + 2x - 3 = 0 \Rightarrow D = 2^2 - 4(1)(-3) = 4 + 12 = 16$
    $x_{1,2} = \frac{-2 \pm \sqrt{16}}{2} = \frac{-2 \pm 4}{2}$
    $x_1 = \frac{-2+4}{2} = 1$
    $x_2 = \frac{-2-4}{2} = -3$
    * $x^2 + 2x = -1 \Rightarrow x^2 + 2x + 1 = 0 \Rightarrow (x+1)^2 = 0 \Rightarrow x = -1$

Ответ: $x_1 = 1$, $x_2 = -3$, $x_3 = -1$

thinking img
progress gif

Текст скопирован
Готово
Ошибка
×