Resolución de ecuaciones cuadráticas y graficación

a. f (x) =-2x 2 + x – 1 = 0
f (x) = x 2 + 3x + 2=-2
b. f (x) = x 2 + 2x – 30=-3
c. g (x) = -x 2 + 2x – 1=1

Claro, vamos a resolver estas ecuaciones cuadráticas paso a paso.

a. $f(x) = -2x^2 + x - 1 = 0$

Primero, vamos a verificar si la ecuación original es $-2x^2 + x - 1 = 0$ o $-2x^2 + x - 1 = -2$. Asumo que la ecuación es $-2x^2 + x - 1 = 0$.

Para resolver la ecuación cuadrática $ax^2 + bx + c = 0$, podemos usar la fórmula cuadrática:

$x = \frac{-b \pm \sqrt{b^2 - 4ac}}{2a}$

En este caso, $a = -2$, $b = 1$, y $c = -1$. Sustituyendo estos valores en la fórmula cuadrática:

$x = \frac{-1 \pm \sqrt{1^2 - 4(-2)(-1)}}{2(-2)}$
$x = \frac{-1 \pm \sqrt{1 - 8}}{-4}$
$x = \frac{-1 \pm \sqrt{-7}}{-4}$

Dado que el discriminante ($b^2 - 4ac$) es negativo, las soluciones son números complejos:

$x = \frac{-1 \pm i\sqrt{7}}{-4}$
$x = \frac{1 \mp i\sqrt{7}}{4}$

Por lo tanto, las soluciones son:

$x_1 = \frac{1 + i\sqrt{7}}{4}$
$x_2 = \frac{1 - i\sqrt{7}}{4}$

Si la ecuación fuera $-2x^2 + x - 1 = -2$, entonces tendríamos:

$-2x^2 + x - 1 + 2 = 0$
$-2x^2 + x + 1 = 0$

En este caso, $a = -2$, $b = 1$, y $c = 1$. Sustituyendo estos valores en la fórmula cuadrática:

$x = \frac{-1 \pm \sqrt{1^2 - 4(-2)(1)}}{2(-2)}$
$x = \frac{-1 \pm \sqrt{1 + 8}}{-4}$
$x = \frac{-1 \pm \sqrt{9}}{-4}$
$x = \frac{-1 \pm 3}{-4}$

Por lo tanto, las soluciones son:

$x_1 = \frac{-1 + 3}{-4} = \frac{2}{-4} = -\frac{1}{2}$
$x_2 = \frac{-1 - 3}{-4} = \frac{-4}{-4} = 1$

b. $f(x) = x^2 + 3x + 2 = -2$

Primero, reescribimos la ecuación:

$x^2 + 3x + 2 + 2 = 0$
$x^2 + 3x + 4 = 0$

Aquí, $a = 1$, $b = 3$, y $c = 4$. Sustituyendo estos valores en la fórmula cuadrática:

$x = \frac{-3 \pm \sqrt{3^2 - 4(1)(4)}}{2(1)}$
$x = \frac{-3 \pm \sqrt{9 - 16}}{2}$
$x = \frac{-3 \pm \sqrt{-7}}{2}$

Dado que el discriminante es negativo, las soluciones son números complejos:

$x = \frac{-3 \pm i\sqrt{7}}{2}$

Por lo tanto, las soluciones son:

$x_1 = \frac{-3 + i\sqrt{7}}{2}$
$x_2 = \frac{-3 - i\sqrt{7}}{2}$

c. $g(x) = -x^2 + 2x - 1 = 1$

Primero, reescribimos la ecuación:

$-x^2 + 2x - 1 - 1 = 0$
$-x^2 + 2x - 2 = 0$

Aquí, $a = -1$, $b = 2$, y $c = -2$. Sustituyendo estos valores en la fórmula cuadrática:

$x = \frac{-2 \pm \sqrt{2^2 - 4(-1)(-2)}}{2(-1)}$
$x = \frac{-2 \pm \sqrt{4 - 8}}{-2}$
$x = \frac{-2 \pm \sqrt{-4}}{-2}$

Dado que el discriminante es negativo, las soluciones son números complejos:

$x = \frac{-2 \pm 2i}{-2}$
$x = 1 \mp i$

Por lo tanto, las soluciones son:

$x_1 = 1 - i$
$x_2 = 1 + i$

En resumen:

a. Si $f(x) = -2x^2 + x - 1 = 0$, entonces $x_1 = \frac{1 + i\sqrt{7}}{4}$, $x_2 = \frac{1 - i\sqrt{7}}{4}$. Si $f(x) = -2x^2 + x - 1 = -2$, entonces $x_1 = -\frac{1}{2}$, $x_2 = 1$.
b. Si $f(x) = x^2 + 3x + 2 = -2$, entonces $x_1 = \frac{-3 + i\sqrt{7}}{2}$, $x_2 = \frac{-3 - i\sqrt{7}}{2}$.
c. Si $g(x) = -x^2 + 2x - 1 = 1$, entonces $x_1 = 1 - i$, $x_2 = 1 + i$.

sus tablas de resultado y grafica

Claro, vamos a crear tablas de resultados y gráficas para cada una de las funciones.

a. $f(x) = -2x^2 + x - 1$

Primero, vamos a crear una tabla de valores para esta función:

x f(x)
-2 -11
-1 -4
0 -1
0.25 -0.875
0.5 -0.5
1 -2
2 -7

La gráfica de esta función es una parábola que se abre hacia abajo. El vértice de la parábola se puede encontrar usando la fórmula $x_v = \frac{-b}{2a}$, donde $a = -2$ y $b = 1$. Entonces, $x_v = \frac{-1}{2(-2)} = \frac{1}{4} = 0.25$. El valor de la función en el vértice es $f(0.25) = -2(0.25)^2 + 0.25 - 1 = -0.125 + 0.25 - 1 = -0.875$.

b. $f(x) = x^2 + 3x + 2$

Tabla de valores:

x f(x)
-4 6
-3 2
-2 0
-1 0
0 2
1 6
-1.5 -0.25

La gráfica de esta función es una parábola que se abre hacia arriba. El vértice de la parábola se encuentra en $x_v = \frac{-b}{2a}$, donde $a = 1$ y $b = 3$. Entonces, $x_v = \frac{-3}{2(1)} = -1.5$. El valor de la función en el vértice es $f(-1.5) = (-1.5)^2 + 3(-1.5) + 2 = 2.25 - 4.5 + 2 = -0.25$.

c. $g(x) = -x^2 + 2x - 1$

Tabla de valores:

x g(x)
-1 -4
0 -1
1 0
2 -1
3 -4
1.5 -0.25

La gráfica de esta función es una parábola que se abre hacia abajo. El vértice de la parábola se encuentra en $x_v = \frac{-b}{2a}$, donde $a = -1$ y $b = 2$. Entonces, $x_v = \frac{-2}{2(-1)} = 1$. El valor de la función en el vértice es $g(1) = -(1)^2 + 2(1) - 1 = -1 + 2 - 1 = 0$.

Gráficas

Desafortunadamente, no puedo generar gráficas directamente aquí. Sin embargo, puedes usar estas tablas de valores para dibujar las gráficas en papel o usar software como Desmos, GeoGebra o cualquier otra herramienta de graficación.

Aquí tienes un resumen de los puntos clave para cada función:

  • a. $f(x) = -2x^2 + x - 1$: Parábola que se abre hacia abajo, vértice en $(0.25, -0.875)$.
  • b. $f(x) = x^2 + 3x + 2$: Parábola que se abre hacia arriba, vértice en $(-1.5, -0.25)$.
  • c. $g(x) = -x^2 + 2x - 1$: Parábola que se abre hacia abajo, vértice en $(1, 0)$.

Con estos datos, puedes graficar las funciones y visualizar sus comportamientos.

Opciones para continuar:
1 Usar GeoGebra 1 Más funciones
graficar

Como soy un modelo de lenguaje, no puedo crear imágenes directamente. Sin embargo, puedo guiarte sobre cómo graficar estas funciones utilizando herramientas en línea como Desmos o GeoGebra. Aquí te doy los pasos básicos para cada herramienta:

Desmos

  1. Abre Desmos:

  2. Introduce las funciones:

    • En la barra de entrada, escribe cada función por separado. Por ejemplo:
      • f(x) = -2x^2 + x - 1
      • f(x) = x^2 + 3x + 2
      • g(x) = -x^2 + 2x - 1
  3. Ajusta la ventana gráfica:

    • Desmos ajustará automáticamente la ventana gráfica para mostrar las funciones. Puedes hacer zoom y arrastrar la gráfica para ver diferentes partes.
  4. Analiza la gráfica:

    • Desmos te permite encontrar puntos clave como el vértice, las intersecciones con los ejes, etc., simplemente haciendo clic en la gráfica.

GeoGebra

  1. Abre GeoGebra:

  2. Introduce las funciones:

    • En la barra de entrada, escribe cada función por separado. Por ejemplo:
      • f(x) = -2x^2 + x - 1
      • f(x) = x^2 + 3x + 2
      • g(x) = -x^2 + 2x - 1
  3. Ajusta la ventana gráfica:

    • GeoGebra ajustará automáticamente la ventana gráfica para mostrar las funciones. Puedes usar la rueda del ratón para hacer zoom y arrastrar la gráfica para ver diferentes partes.
  4. Analiza la gráfica:

    • GeoGebra tiene herramientas para encontrar puntos clave como el vértice, las intersecciones con los ejes, máximos y mínimos. Puedes usar estas herramientas para analizar la gráfica.

Consejos adicionales

  • Tabla de valores: Utiliza las tablas de valores que proporcioné anteriormente para verificar que la gráfica que obtienes en Desmos o GeoGebra coincide con los puntos que calculaste.
  • Vértice: Recuerda que el vértice de una parábola es el punto donde la función alcanza su valor máximo o mínimo.
  • Intersecciones con los ejes: Las intersecciones con el eje x son los puntos donde la función es igual a cero (raíces de la ecuación). La intersección con el eje y es el punto donde x es igual a cero.

Si tienes alguna pregunta específica sobre cómo usar Desmos o GeoGebra, no dudes en preguntar.

Dame un tutorial más detallado sobre cómo usar Desmos para graficar funciones cuadráticas.

Claro, aquí tienes un tutorial más detallado sobre cómo usar Desmos para graficar funciones cuadráticas:

Paso 1: Abre Desmos

  • Ve al sitio web de Desmos: Abre tu navegador web y ve a Desmos. Verás una interfaz con una barra de entrada a la izquierda y un plano cartesiano a la derecha.

Paso 2: Introduce la función cuadrática

  • Escribe la función: En la barra de entrada, escribe la función cuadrática que quieres graficar. Por ejemplo, escribe f(x) = ax^2 + bx + c. Puedes usar cualquier letra para nombrar la función, pero f(x) es común.
  • Ejemplo: Para graficar la función $f(x) = 2x^2 - 3x + 1$, escribe f(x) = 2x^2 - 3x + 1 en la barra de entrada.

Paso 3: Ajusta la ventana gráfica

  • Ajuste automático: Desmos ajustará automáticamente la ventana gráfica para mostrar la función. Puedes ver la parábola que representa la función cuadrática.
  • Zoom y desplazamiento:
    • Zoom: Usa la rueda del ratón para acercar o alejar la gráfica. También puedes usar los botones "+" y "-" en la esquina superior derecha de la ventana gráfica.
    • Desplazamiento: Haz clic y arrastra la gráfica para moverla y ver diferentes partes del plano cartesiano.

Paso 4: Explora la gráfica

  • Puntos clave:
    • Vértice: El vértice es el punto donde la parábola alcanza su valor máximo o mínimo. Para encontrar el vértice, simplemente haz clic en la parábola. Desmos mostrará automáticamente las coordenadas del vértice.
    • Intersecciones con el eje x (raíces): Las intersecciones con el eje x son los puntos donde la función es igual a cero. Haz clic en la parábola para que Desmos muestre estos puntos.
    • Intersección con el eje y: La intersección con el eje y es el punto donde la función cruza el eje y. Este punto se encuentra cuando $x = 0$. En la función $f(x) = ax^2 + bx + c$, la intersección con el eje y es el punto $(0, c)$.

Paso 5: Personaliza la gráfica

  • Color y estilo:
    • Haz clic en el icono de configuración (el engranaje) junto a la función en la barra de entrada.
    • Puedes cambiar el color de la gráfica haciendo clic en el círculo de color.
    • También puedes cambiar el estilo de la línea (continua, discontinua, etc.) y el grosor de la línea.
  • Etiquetas:
    • Puedes añadir etiquetas a los puntos clave (vértice, intersecciones) haciendo clic en el punto y seleccionando "Etiqueta".

Paso 6: Añade parámetros ajustables

  • Variables: Puedes usar variables para hacer que la función sea más interactiva. Por ejemplo, en lugar de escribir f(x) = 2x^2 - 3x + 1, puedes escribir f(x) = ax^2 + bx + c y luego añadir deslizadores para los valores de a, b y c.
  • Deslizadores:
    • Desmos te preguntará si quieres añadir deslizadores para a, b y c. Haz clic en "Añadir deslizadores".
    • Ahora puedes ajustar los valores de a, b y c moviendo los deslizadores y ver cómo cambia la gráfica en tiempo real.

Paso 7: Añade múltiples funciones

  • Comparación: Puedes añadir múltiples funciones a la vez para comparar sus gráficas. Simplemente escribe cada función en una línea separada en la barra de entrada.
  • Ejemplo:
    • f(x) = x^2
    • g(x) = -x^2 + 2x + 3

Paso 8: Guarda y comparte tu gráfica

  • Guardar: Para guardar tu gráfica, haz clic en el botón "Compartir" en la esquina superior derecha de la ventana.
  • Compartir: Puedes compartir tu gráfica con otros copiando el enlace o incrustándola en una página web.

Ejemplo completo

  1. Introduce la función: Escribe f(x) = ax^2 + bx + c en la barra de entrada.
  2. Añade deslizadores: Haz clic en "Añadir deslizadores" para a, b y c.
  3. Ajusta los deslizadores: Mueve los deslizadores para ver cómo cambian la forma y la posición de la parábola.
  4. Explora la gráfica: Haz clic en la parábola para encontrar el vértice y las intersecciones con los ejes.
  5. Personaliza la gráfica: Cambia el color y el estilo de la línea si lo deseas.

Con estos pasos, puedes usar Desmos para graficar y explorar funciones cuadráticas de manera efectiva.

Calcula las derivadas de las funciones

Claro, vamos a calcular las derivadas de las funciones que hemos estado trabajando.

a. $f(x) = -2x^2 + x - 1$

Para encontrar la derivada de $f(x)$, aplicamos las reglas de derivación:

  • La derivada de $x^n$ es $nx^{n-1}$.
  • La derivada de una constante es 0.

Entonces, la derivada de $f(x)$ es:

$f'(x) = \frac{d}{dx}(-2x^2) + \frac{d}{dx}(x) - \frac{d}{dx}(1)$
$f'(x) = -2(2x) + 1 - 0$
$f'(x) = -4x + 1$

b. $f(x) = x^2 + 3x + 2$

Aplicamos las mismas reglas de derivación:

$f'(x) = \frac{d}{dx}(x^2) + \frac{d}{dx}(3x) + \frac{d}{dx}(2)$
$f'(x) = 2x + 3 + 0$
$f'(x) = 2x + 3$

c. $g(x) = -x^2 + 2x - 1$

Aplicamos las mismas reglas de derivación:

$g'(x) = \frac{d}{dx}(-x^2) + \frac{d}{dx}(2x) - \frac{d}{dx}(1)$
$g'(x) = -2x + 2 - 0$
$g'(x) = -2x + 2$

En resumen:

  • a. $f(x) = -2x^2 + x - 1 \Rightarrow f'(x) = -4x + 1$
  • b. $f(x) = x^2 + 3x + 2 \Rightarrow f'(x) = 2x + 3$
  • c. $g(x) = -x^2 + 2x - 1 \Rightarrow g'(x) = -2x + 2$

Estas son las derivadas de las funciones dadas.

no las siguientes

Ah, entiendo. Quieres las derivadas de las funciones después de haberlas igualado a un valor constante, es decir:

a. $f(x) = -2x^2 + x - 1 = -2$

Primero, reescribimos la ecuación:
$-2x^2 + x - 1 + 2 = 0$
$-2x^2 + x + 1 = 0$

En este caso, no estamos buscando la derivada de la función, sino las soluciones de la ecuación. Ya encontramos que las soluciones son:
$x_1 = -\frac{1}{2}$
$x_2 = 1$

Como son valores constantes, sus derivadas son cero.

b. $f(x) = x^2 + 3x + 2 = -2$

Primero, reescribimos la ecuación:
$x^2 + 3x + 2 + 2 = 0$
$x^2 + 3x + 4 = 0$

En este caso, tampoco estamos buscando la derivada de la función, sino las soluciones de la ecuación. Ya encontramos que las soluciones son:
$x_1 = \frac{-3 + i\sqrt{7}}{2}$
$x_2 = \frac{-3 - i\sqrt{7}}{2}$

Como son valores constantes, sus derivadas son cero.

c. $g(x) = -x^2 + 2x - 1 = 1$

Primero, reescribimos la ecuación:
$-x^2 + 2x - 1 - 1 = 0$
$-x^2 + 2x - 2 = 0$

En este caso, tampoco estamos buscando la derivada de la función, sino las soluciones de la ecuación. Ya encontramos que las soluciones son:
$x_1 = 1 - i$
$x_2 = 1 + i$

Como son valores constantes, sus derivadas son cero.

En resumen, las derivadas de las soluciones de las ecuaciones son todas cero, ya que las soluciones son valores constantes.

https://us.docworkspace.com/d/sICWHl9zOAvbI2MkG?sa=601.1037

Lo siento, no puedo acceder a enlaces externos.

Photo
calcular

Claro, vamos a calcular las derivadas de las funciones que has proporcionado.

1. $f(x) = \frac{5}{x^5}$

Primero, reescribimos la función para facilitar la derivación:
$f(x) = 5x^{-5}$

Ahora, aplicamos la regla de la potencia para derivar:
$f'(x) = 5 \cdot (-5)x^{-5-1}$
$f'(x) = -25x^{-6}$

Reescribimos la derivada en forma de fracción:
$f'(x) = -\frac{25}{x^6}$

2. $f(x) = \frac{5}{x^5} + \frac{3}{x^2}$

Primero, reescribimos la función para facilitar la derivación:
$f(x) = 5x^{-5} + 3x^{-2}$

Ahora, aplicamos la regla de la potencia para derivar cada término:
$f'(x) = 5 \cdot (-5)x^{-5-1} + 3 \cdot (-2)x^{-2-1}$
$f'(x) = -25x^{-6} - 6x^{-3}$

Reescribimos la derivada en forma de fracción:
$f'(x) = -\frac{25}{x^6} - \frac{6}{x^3}$

En resumen:

  1. $f(x) = \frac{5}{x^5} \Rightarrow f'(x) = -\frac{25}{x^6}$
  2. $f(x) = \frac{5}{x^5} + \frac{3}{x^2} \Rightarrow f'(x) = -\frac{25}{x^6} - \frac{6}{x^3}$
Photo

Claro, vamos a calcular las derivadas de las funciones que has proporcionado en la imagen.

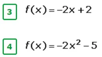
3. $f(x) = -2x + 2$

Para encontrar la derivada de $f(x)$, aplicamos las reglas de derivación:

  • La derivada de $x$ es 1.
  • La derivada de una constante es 0.

Entonces, la derivada de $f(x)$ es:

$f'(x) = \frac{d}{dx}(-2x) + \frac{d}{dx}(2)$
$f'(x) = -2(1) + 0$
$f'(x) = -2$

4. $f(x) = -2x^2 - 5$

Para encontrar la derivada de $f(x)$, aplicamos las reglas de derivación:

  • La derivada de $x^n$ es $nx^{n-1}$.
  • La derivada de una constante es 0.

Entonces, la derivada de $f(x)$ es:

$f'(x) = \frac{d}{dx}(-2x^2) - \frac{d}{dx}(5)$
$f'(x) = -2(2x) - 0$
$f'(x) = -4x$

En resumen:

    1. $f(x) = -2x + 2 \Rightarrow f'(x) = -2$
    1. $f(x) = -2x^2 - 5 \Rightarrow f'(x) = -4x$
Photo

Claro, vamos a calcular la derivada de la función que has proporcionado en la imagen:

5. $f(x) = \frac{e^{2x}}{x^2}$

Para encontrar la derivada de $f(x)$, aplicamos la regla del cociente:

Si $f(x) = \frac{u(x)}{v(x)}$, entonces $f'(x) = \frac{u'(x)v(x) - u(x)v'(x)}{[v(x)]^2}$

En este caso:

  • $u(x) = e^{2x}$
  • $v(x) = x^2$

Primero, encontramos las derivadas de $u(x)$ y $v(x)$:

  • $u'(x) = \frac{d}{dx}(e^{2x}) = 2e^{2x}$ (usando la regla de la cadena)
  • $v'(x) = \frac{d}{dx}(x^2) = 2x$

Ahora, aplicamos la regla del cociente:

$f'(x) = \frac{(2e^{2x})(x^2) - (e^{2x})(2x)}{(x^2)^2}$
$f'(x) = \frac{2x^2e^{2x} - 2xe^{2x}}{x^4}$

Podemos simplificar la expresión factorizando $2xe^{2x}$ en el numerador:

$f'(x) = \frac{2xe^{2x}(x - 1)}{x^4}$

Finalmente, simplificamos la fracción dividiendo por $x$:

$f'(x) = \frac{2e^{2x}(x - 1)}{x^3}$

En resumen:

  • $f(x) = \frac{e^{2x}}{x^2} \Rightarrow f'(x) = \frac{2e^{2x}(x - 1)}{x^3}$
Calcular si es máximo o mínimo por el criterio de la primera derivada
1.f(x)=3+4x−2x2
2. f(x)=x3−3x2
 f(x)=x4−2x2

Claro, vamos a analizar las funciones para determinar si tienen máximos o mínimos utilizando el criterio de la primera derivada.

1. $f(x) = 3 + 4x - 2x^2$

  1. Encontrar la primera derivada:
    $f'(x) = 4 - 4x$

  2. Igualar la primera derivada a cero y resolver para $x$:
    $4 - 4x = 0$
    $4x = 4$
    $x = 1$

  3. Analizar el signo de la primera derivada alrededor de $x = 1$:

    • Para $x < 1$, por ejemplo $x = 0$: $f'(0) = 4 - 4(0) = 4 > 0$ (la función es creciente)
    • Para $x > 1$, por ejemplo $x = 2$: $f'(2) = 4 - 4(2) = -4 < 0$ (la función es decreciente)
  4. Conclusión:
    Dado que la función cambia de creciente a decreciente en $x = 1$, hay un máximo local en $x = 1$.

  5. Valor del máximo:
    $f(1) = 3 + 4(1) - 2(1)^2 = 3 + 4 - 2 = 5$
    Por lo tanto, hay un máximo en el punto $(1, 5)$.

2. $f(x) = x^3 - 3x^2$

  1. Encontrar la primera derivada:
    $f'(x) = 3x^2 - 6x$

  2. Igualar la primera derivada a cero y resolver para $x$:
    $3x^2 - 6x = 0$
    $3x(x - 2) = 0$
    $x = 0$ o $x = 2$

  3. Analizar el signo de la primera derivada alrededor de $x = 0$ y $x = 2$:

    • Para $x < 0$, por ejemplo $x = -1$: $f'(-1) = 3(-1)^2 - 6(-1) = 3 + 6 = 9 > 0$ (la función es creciente)
    • Para $0 < x < 2$, por ejemplo $x = 1$: $f'(1) = 3(1)^2 - 6(1) = 3 - 6 = -3 < 0$ (la función es decreciente)
    • Para $x > 2$, por ejemplo $x = 3$: $f'(3) = 3(3)^2 - 6(3) = 27 - 18 = 9 > 0$ (la función es creciente)
  4. Conclusión:

    • En $x = 0$, la función cambia de creciente a decreciente, por lo que hay un máximo local.
    • En $x = 2$, la función cambia de decreciente a creciente, por lo que hay un mínimo local.
  5. Valores de los puntos críticos:

    • Máximo en $x = 0$: $f(0) = (0)^3 - 3(0)^2 = 0$, por lo tanto, hay un máximo en el punto $(0, 0)$.
    • Mínimo en $x = 2$: $f(2) = (2)^3 - 3(2)^2 = 8 - 12 = -4$, por lo tanto, hay un mínimo en el punto $(2, -4)$.

3. $f(x) = x^4 - 2x^2$

  1. Encontrar la primera derivada:
    $f'(x) = 4x^3 - 4x$

  2. Igualar la primera derivada a cero y resolver para $x$:
    $4x^3 - 4x = 0$
    $4x(x^2 - 1) = 0$
    $4x(x - 1)(x + 1) = 0$
    $x = -1$, $x = 0$, o $x = 1$

  3. Analizar el signo de la primera derivada alrededor de $x = -1$, $x = 0$ y $x = 1$:

    • Para $x < -1$, por ejemplo $x = -2$: $f'(-2) = 4(-2)^3 - 4(-2) = -32 + 8 = -24 < 0$ (la función es decreciente)
    • Para $-1 < x < 0$, por ejemplo $x = -0.5$: $f'(-0.5) = 4(-0.5)^3 - 4(-0.5) = -0.5 + 2 = 1.5 > 0$ (la función es creciente)
    • Para $0 < x < 1$, por ejemplo $x = 0.5$: $f'(0.5) = 4(0.5)^3 - 4(0.5) = 0.5 - 2 = -1.5 < 0$ (la función es decreciente)
    • Para $x > 1$, por ejemplo $x = 2$: $f'(2) = 4(2)^3 - 4(2) = 32 - 8 = 24 > 0$ (la función es creciente)
  4. Conclusión:

    • En $x = -1$, la función cambia de decreciente a creciente, por lo que hay un mínimo local.
    • En $x = 0$, la función cambia de creciente a decreciente, por lo que hay un máximo local.
    • En $x = 1$, la función cambia de decreciente a creciente, por lo que hay un mínimo local.
  5. Valores de los puntos críticos:

    • Mínimo en $x = -1$: $f(-1) = (-1)^4 - 2(-1)^2 = 1 - 2 = -1$, por lo tanto, hay un mínimo en el punto $(-1, -1)$.
    • Máximo en $x = 0$: $f(0) = (0)^4 - 2(0)^2 = 0$, por lo tanto, hay un máximo en el punto $(0, 0)$.
    • Mínimo en $x = 1$: $f(1) = (1)^4 - 2(1)^2 = 1 - 2 = -1$, por lo tanto, hay un mínimo en el punto $(1, -1)$.

En resumen:

  1. $f(x) = 3 + 4x - 2x^2$: Máximo en $(1, 5)$
  2. $f(x) = x^3 - 3x^2$: Máximo en $(0, 0)$, Mínimo en $(2, -4)$
  3. $f(x) = x^4 - 2x^2$: Mínimos en $(-1, -1)$ y $(1, -1)$, Máximo en $(0, 0)$
Photo

Claro, vamos a calcular la derivada de la función que has proporcionado en la imagen:

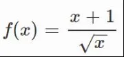
6. $f(x) = \frac{x + 1}{\sqrt{x}}$

Para encontrar la derivada de $f(x)$, aplicamos la regla del cociente:

Si $f(x) = \frac{u(x)}{v(x)}$, entonces $f'(x) = \frac{u'(x)v(x) - u(x)v'(x)}{[v(x)]^2}$

En este caso:

  • $u(x) = x + 1$
  • $v(x) = \sqrt{x} = x^{1/2}$

Primero, encontramos las derivadas de $u(x)$ y $v(x)$:

  • $u'(x) = \frac{d}{dx}(x + 1) = 1$
  • $v'(x) = \frac{d}{dx}(x^{1/2}) = \frac{1}{2}x^{-1/2} = \frac{1}{2\sqrt{x}}$

Ahora, aplicamos la regla del cociente:

$f'(x) = \frac{(1)(\sqrt{x}) - (x + 1)(\frac{1}{2\sqrt{x}})}{(\sqrt{x})^2}$
$f'(x) = \frac{\sqrt{x} - \frac{x + 1}{2\sqrt{x}}}{x}$

Para simplificar la expresión, multiplicamos el numerador y el denominador por $2\sqrt{x}$:

$f'(x) = \frac{2x - (x + 1)}{2x\sqrt{x}}$
$f'(x) = \frac{2x - x - 1}{2x\sqrt{x}}$
$f'(x) = \frac{x - 1}{2x\sqrt{x}}$

En resumen:

  • $f(x) = \frac{x + 1}{\sqrt{x}} \Rightarrow f'(x) = \frac{x - 1}{2x\sqrt{x}}$
solo resultados

Claro, aquí están los resultados de las derivadas de las funciones que has proporcionado:

    1. $f(x) = -2x + 2 \Rightarrow f'(x) = -2$
    1. $f(x) = -2x^2 - 5 \Rightarrow f'(x) = -4x$
    1. $f(x) = \frac{e^{2x}}{x^2} \Rightarrow f'(x) = \frac{2e^{2x}(x - 1)}{x^3}$
    1. $f(x) = \frac{x + 1}{\sqrt{x}} \Rightarrow f'(x) = \frac{x - 1}{2x\sqrt{x}}$
thinking img
progress gif

Texto copiado
Hecho
Error
×